-
Индивидуальный предприниматель
-
УДК 511
Введение
В теории чисел существует множество интересных гипотез. Одной из лучших гипотез, сформулированных в 20 веке, является abc-гипотеза.
Актуальность
Из данной гипотезы вытекает много важных следствий. В частности из справедливости abc-гипотезы следует справедливость гипотезы Била для достаточно больших z, а из неё – справедливость Великой теоремы Ферма для достаточно больших степеней. Также из справедливости abc-гипотезы следует справедливость гипотезы Пиллаи, а из неё – справедливость гипотезы Каталана. Поэтому актуален не только поиск доказательства данной гипотезы, но и поиск ее обобщений.
Цели
Сформулировать гипотезу, являющуюся обобщением abc-гипотезы на случай произвольного количества слагаемых k (k ≥ 3).
Научная новизна
В настоящее время большое внимание математического сообщества сосредоточено на доказательстве abc-гипотезы. В частности на проверке доказательства, предложенного в 2012 году японским математиком Мотидзуки. Обобщений же данной гипотезы пока сформулировано не было.
Попробуем прийти к формулировке abc-гипотезы следующим путем. Рассмотрим уравнения вида:
![]()
где a, b и c взаимно простые натуральные числа.
Рассмотрим следующие частные случаи уравнения (1) при

где n – натуральное число.
В этом случае уравнение (1) будет иметь следующий вид:

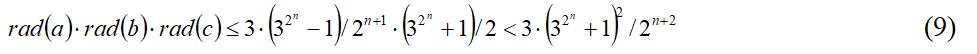
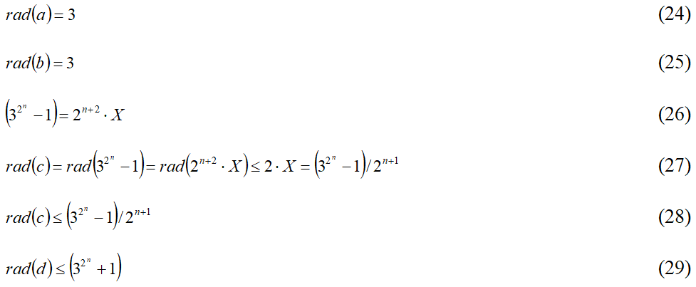
Оценим радикалы (произведения простых делителей) каждого из слагаемых этого уравнения. Получим:

Оценим произведение этих радикалов:

Попробуем теперь сравнить максимальное из слагаемых уравнения (2), т.е. число «c», и произведение этих радикалов.

Как видно, в данном случае число «c» строго больше произведения радикалов слагаемых при n ≥ 2. Определим насколько оно больше в плане показателя:

Как видно, α > 1 при n ≥ 2. При этом при стремлении n к бесконечности α стремится к 1. Показатель степени α называется мерой хитовости abc-тройки чисел.
На основании вышесказанного можно сформулировать abc-гипотезу.
Формулировка abc-гипотезы.
Формулировка 1. Для любого ε > 0 существует константа K(ε), при которой для любых трех взаимно простых натуральных чисел a, b и c, удовлетворяющих уравнению (1), выполняется неравенство:
![]()
Поскольку числа a, b и с не только взаимно простые, но и попарно взаимно простые, уравнение (13) можно записать так:
![]()
Формулировка 2. Для любого ε > 0 существует только конечное число троек взаимно простых натуральных чисел a, b и c, удовлетворяющих уравнению (1), для которых выполняется неравенство:
![]()
Приведенные две формулировки являются эквивалентными.
В настоящее время известно, что показатель степени α в уравнении (11) имеет максимальное значение приблизительно равное 1.62991. Обозначим его αмакс. Таким образом, можно дать еще такую формулировку abc-гипотезы.
Формулировка 3. Для любых троек взаимно простых натуральных чисел a, b и c, удовлетворяющих уравнению (1), выполняется неравенство:
![]()
Основными формулировками abc-гипотезы являются формулировки 1 и 2.
Утверждения abc-гипотезы имеют большую силу. В частности из этой гипотезы следует верность Великой теоремы Ферма при n ≥ 6. Покажем это.
Великая теорема Ферма утверждает, что не существует натуральных чисел a, b и c, удовлетворяющих уравнению:
![]()
при n > 2, n – натуральное число.
Оценим радикалы каждого из слагаемых уравнения (17).

Поскольку a < c и b < c неравенство (16) в этом случае будет иметь следующий вид:
![]()
Т.е. уравнение (17) может иметь целочисленные решения только при n < 6. А для случаев n = 3, n = 4 и n = 5 Великая теорема Ферма была доказана уже достаточно давно.
Попробуем теперь вывести гипотезу аналогичную abc-гипотезе только для уравнений из четырех слагаемых (k = 4). Рассмотрим уравнения вида:
![]()
где a, b, c и d взаимно простые ненулевые целые числа, max(|a|, |b|, |c|, |d|) = |d|.
Кроме того, уравнение (22) не должно быть составным. (Т.е. его нельзя разложить на два или более уравнения с тем же набором слагаемых. Пример составного уравнения: 2 – 2 + 3 – 3 = 0. Данное уравнение является составным, потому что его можно разложить на два уравнения с тем же набором слагаемых: 2 – 2 = 0 и 3 – 3 = 0.)
Рассмотрим следующие частные случаи уравнения (22) при

где n – натуральное число.
В этом случае уравнение (22) будет иметь следующий вид:

Оценим радикалы каждого из слагаемых этого уравнения. Получим:

Оценим произведение этих радикалов:

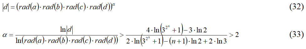
Попробуем теперь сравнить максимальное из слагаемых уравнения (22), т.е. |d|, и произведение этих радикалов.

Как видно, в данном случае |d| строго больше произведения радикалов слагаемых при n ≥ 1. Определим насколько это число больше в плане показателя:

Как видно, α > 2 при n ≥ 4. При этом при стремлении n к бесконечности α стремится к 2.
Если пройти аналогичный путь только для уравнений из пяти слагаемых (k = 5), то мы получим результат, что при стремлении n к бесконечности α будет стремиться к 3 (α > 3). Если для шести слагаемых (k = 6), то α будет стремиться к 4 (α > 4). И т.д.
Таким образом, мы можем сформулировать abcd-гипотезу, которая будет являться обобщением abc-гипотезы на случай произвольного количества слагаемых k (k ≥ 3):
![]()
где a1, a2, …, ak взаимно простые ненулевые целые числа.
Формулировка abcd-гипотезы.
Формулировка 1. Для любого ε > 0 существует константа K(ε), при которой для любых взаимно простых ненулевых целых чисел a1, a2, …, ak, удовлетворяющих несоставному уравнению (34), выполняется неравенство:

Формулировка 2. Для любого ε > 0 существует только конечное число взаимно простых ненулевых целых чисел a1, a2, …, ak, удовлетворяющих несоставному уравнению (34), для которых выполняется неравенство:

Приведенные две формулировки являются эквивалентными.
Как было сказано выше, для k = 3 значение αмакс ≈ 1.62991. Для k = 4 найденное нами максимальное значение αмакс ≈ 2.0929 (уравнение -23∙38 – 1 + 56 + 212∙32 = 0). Для k = 5 найденное нами максимальное значение αмакс ≈ 2.452589 (уравнение -312 – 24∙33 + 210 + 38 + 219 = 0). (Для k = 5 мы здесь не учитываем уравнения, аналогичные уравнениям (2) и (23), у которых αмакс ≈ 3 и αмакс > 3.) Можно предположить, что чем больше количество слагаемых k, тем ближе значение αмакс к числу «k – 2». Таким образом, можно дать еще такую формулировку abcd-гипотезы.
Формулировка 3. Для любых взаимно простых ненулевых целых чисел a1, a2, …, ak, удовлетворяющих несоставному уравнению (34), выполняется неравенство:

где δ ≈ 1 и δ > 1.
Как мы писали выше, при k = 3 слагаемые уравнения являются не только взаимно простыми, но и попарно взаимно простыми числами. В этом случае произведение радикалов этих чисел равно радикалу их произведения. Но при k > 3 такого равенства нет. Для общего случая k ≥ 3 справедливо неравенство:

Таким образом, заменив произведение радикалов на радикал произведения в неравенствах (35), (36) и (37), можно дать еще такие формулировки abcd-гипотезы.
Формулировка 4. Для любого ε > 0 существует константа K(ε), при которой для любых взаимно простых ненулевых целых чисел a1, a2, …, ak, удовлетворяющих несоставному уравнению (34), выполняется неравенство:

Формулировка 5. Для любого ε > 0 существует только конечное число взаимно простых ненулевых целых чисел a1, a2, …, ak, удовлетворяющих несоставному уравнению (34), для которых выполняется неравенство:

Формулировка 6. Для любых взаимно простых ненулевых целых чисел a1, a2, …, ak, удовлетворяющих несоставному уравнению (34), выполняется неравенство:

где δ ≈ 1 и δ > 1.
Утверждения abcd-гипотезы согласно формулировкам 1, 2 и 3, т.е. формулировкам, использующим произведение радикалов, являются более сильными, чем утверждения согласно формулировкам 4, 5 и 6, т.е. формулировкам, использующим радикал произведения.
Как видно из тройки неравенств (35), (36), (37) и тройки неравенств (39), (40), (41), при k = 3 они становятся равными тройке неравенств (14), (15), (16), отражающих классические формулировки abc-гипотезы.
Интересно рассмотреть случай k = 2. При k = 2 может существовать лишь одно уравнение, слагаемые которого являются взаимно простыми ненулевыми целыми числами: уравнение 1 = 1. Произведение радикалов этих слагаемых равно радикалу их произведения и равно 1.
Подставим значения в неравенство (35). Получим:
![]()
Очевидно для случая k = 2 вне зависимости от величины ε константу K(ε) можно принять равной 1.
Подставим значения в неравенство (36). Получим:
![]()
Взаимно простых двоек чисел a1 и a2, удовлетворяющих уравнению a1 + a2 = 0, для которых выполняется неравенство (36), должно быть конечное количество. Поскольку неравенство (43) не выполняется, то при k = 2 количество таких двоек чисел равно 0.
Подставим значения в неравенство (37). Получим:
![]()
Для любых взаимно простых двоек чисел a1 и a2, удовлетворяющих уравнению a1 + a2 = 0, неравенство (37) должно выполняться. Поскольку неопределенность 1∞ может быть равна любому числу, будем считать, что неравенство (44) выполняется.
Если подставить значения при k = 2 в неравенства (39), (40), (41), то мы получим такие же неравенства (42), (43), (44).
Таким образом, все формулировки abcd-гипотезы справедливы для k ≥ 2.
Если же применять abcd-гипотезу только для случаев k ≥ 3, то неравенства (37) и (41) можно несколько упростить, подставив в них значение δ = 1:

Основными формулировками abcd-гипотезы являются формулировки 1 и 2, т.е. формулировки использующие произведение радикалов.
Выводы
1. Сформулирована abcd-гипотеза, являющаяся обобщением abc-гипотезы на случай произвольного количества слагаемых k (k ≥ 3).
2. Показана корректность формулировок abcd-гипотезы для тривиального случая при k = 2.
Комментарии пользователей:
|
11.01.2022, 16:13 Цорин Борис Иосифович Отзыв: Не известно, имеет ли ценность данная гипотеза: предполагаю, что если когда-либо доказательство abc-гипотезы будет найдено, то и данная гипотеза сможет быть доказана по аналогии. Однако "сомнения трактуются в пользу обвиняемого", а ошибок в данной статье не вижу, так что статью рекомендую к публикации. Отдельно хочу порекомендовать автору не ссылаться на Википедию: да, анонимные статьи как источник информации часто полезны, а достоверность Википедию имеет высокую, но вот авторитетность этих статей нулевая. Даже сама Википедия пишет: "Следует избегать источников, которые заимствуют сведения из Википедии". (https://ru.wikipedia.org/wiki/Википедия:Авторитетные_источники) |
|
17.01.2022, 0:53 Частухин Александр Евгеньевич Отзыв: Благодарю за отзыв. Думаю, что если когда-либо доказательство abc-гипотезы будет найдено, то не факт, что данная гипотеза сможет быть доказана по аналогии. Если мы докажем каким-то способом, что a^3+b^3=c^3 не имеет целочисленных решений, то из этого не будет следовать, что этот способ применим для доказательства того, что a^n+b^n=c^n не имеет целочисленных решений при n>=3. |
|
17.01.2022, 14:25 Цорин Борис Иосифович Отзыв: Не факт, но весьма возможно. Это переход от конкретной степени к любой степени редко удается сделать, а переход от конкретного числа слагаемых к сумме любого количества однотипных слагаемых встречается в решении различных задач заметно чаще. Хотя спор на эту тему абсолютно непродуктивен, так как доказательства нет ни для той, ни для другой гипотезы. |
|
18.01.2022, 0:21 Частухин Александр Евгеньевич Отзыв: Согласен, что спор на эту тему непродуктивен. Так-то доказательство abc-гипотезы есть предложенное Мотидзуки. Неизвестно только верное ли оно. Если вдруг окажется, что оно верное, тут то и возникнет вопрос применимо ли это доказательство для произвольного количества слагаемых. |