Публикация научных статей.
Вход на сайт
E-mail:
Пароль:
Запомнить
Регистрация/
Забыли пароль?

Научные направления

Поделиться:
Разделы: Математика
Размещена 16.04.2023. Последняя правка: 27.11.2023.
Просмотров - 2037

Уровни математических действий над числами. Уровни простоты и иррациональности чисел

Частухин Александр Евгеньевич

-

Индивидуальный предприниматель

-

Аннотация:
В данной работе введены понятия уровня коммутативных математических действий над числами и уровня простоты и иррациональности чисел. Рассмотрены данные понятия от уровня -1, действия ниже уровня сложения, до уровня 2, действия выше уровня умножения.


Abstract:
In this paper, the concepts of the level of commutative mathematical operations on numbers and the level of simplicity and irrationality of numbers are introduced. These concepts are considered from level -1, actions below the addition level, to level 2, actions above the multiplication level.


Ключевые слова:
математические действия; простые числа; иррациональные числа; уровни математических действий

Keywords:
mathematical actions; prime numbers; irrational numbers; levels of mathematical actions


УДК 512; 511; 510

Введение

Математические действия над числами, такие как сложение и умножение, известны человечеству, наверное, почти с самого начала его существования. В настоящее время они, а также операция возведения в степень, хорошо изучены. При этом операцию возведения в степень можно выразить через операцию умножения, а операцию умножения можно выразить через операцию сложения. Тем самым можно рассматривать умножение как следующий уровень действия после сложения, а возведение в степень – как следующий уровень действия после умножения. Однако операция возведения в степень в отличие от сложения и умножения не обладает свойством коммутативности, что несколько нарушает данную схему.

Актуальность

Таким образом, актуально изучение коммутативных математических действий в контексте объединения их в некоторую иерархическую модель.

Цели

Объединить математические действия над числами в некоторую общую схему. Ввести понятие уровня коммутативного математического действия.

Научная новизна

Данный подход является новым в математике, и может дать возможность по-новому посмотреть на такие понятия, как простые числа, иррациональные числа и т.д.

Со школы всем известны следующие математические действия над числами:

 

 

 

При этом умножение можно выразить через сложение следующим образом:

 

 

 

А возведение в степень можно выразить через умножение следующим образом:

 

 

 

При этом

 

 

 

Т.е. действие «возведение в степень» не обладает свойством коммутативности. Сложение же и умножение данным свойством обладают.

Кроме того, для всех вышеописанных математических действий есть некоторые особые числа. Например, начальное число (или просто начало, нейтральный или нулевой элемент). Это число, от которого ведется отсчет в данном действии, и которое не влияет на результат. Для сложения это 0:

 

 

 

Для умножения это 1:

 

 

 

Можно ввести также понятие обнуляющего числа. Если данное число участвует в том или ином действии, то результатом данного действия будет это число. Например, для умножения это 0:

 

 

 

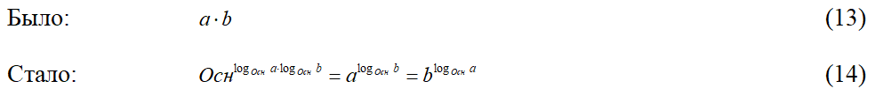
Как известно из курса математики, верно следующее выражение:

 

 

 

где Осн – некоторое число, основание степени.

Как видно, степень числа «Осн» в левой части уравнения это сумма, а в правой части мы имеем умножение. Т.е. данное выражение можно использовать при переходе от действия сложения к действию умножения. (В качестве числа «Осн» во всех выражениях мы будем использовать натуральные числа больше 1.)

Т.е. если нам нужно от выражения «a+b» перейти к выражению «a∙b» можно использовать следующую формулу:

 

 

 

Попробуем теперь с помощью такого метода перейти от умножения к следующему по уровню действию:

 

 

 

Как видно, полученное действие над числами похоже на операцию возведения в степень, но несколько отличается от нее, и при этом оно обладает свойством коммутативности.

Т.е. мы, используя операцию возведения в степень по формулам (12) и (14), перешли от сложения к умножению и от умножения к следующему по уровню действию. Кроме того, перейти от начального числа по сложению (0) к начальному числу по умножению (1) можно также с помощью операции возведения в степень:

 

 

 

Итак, с помощью формул перехода от одного математического действия к вышестоящему по уровню действию соберем следующие данные в сводной таблице:

 

 

 

Рассмотрим данную таблицу поподробнее.

Уровень -1. Действие ниже уровня сложения.

С помощью формулы, обратной формуле (12), можно перейти на одно действие ниже, от сложения к действию, находящемуся на один уровень ниже:

 

 

 

Можно легко получить начала на данном уровне и простые числа. Здесь простые числа понимаются в более широком смысле, чем общепринято в математике. Общепринятые простые числа (2, 3, 5, 7…) в данном случае это простые числа уровня 1, уровня умножения (см. табл. 1). Умножая эти числа между собой можно получить остальные числа натурального ряда (не считая числа 1, которое является началом данного действия).

Простым числом уровня 0, уровня сложения, является только одно число 1. Складывая данное число соответствующее количество раз, можно получить любое число натурального ряда (1 + 1 + 1 + … + 1).

Простым числом уровня -1 является только одно число 0. Его можно получить, понижая уровень сложения таким образом:

 

 

 

Точно также можно получить начальное число уровня -1:

 

 

 

Для данного уровня обратные простые числа и обнуляющие числа являются мнимыми числами, и мы в таблице 1 их не отражали. Обратные простые числа получаются при помощи обратного к данному действия. Для сложения обратным действием является вычитание. Для умножения – деление.

Для сложения единственным обратным простым числом является -1. Перейдем на уровень ниже:

 

 

 

То, что данное число является мнимым, следует из известной в математике формулы:

 

 

 

Уровень 0. Сложение.

Про данное действие мы уже частично написали, и с ним в целом все понятно. В таблице 1 написано, что обнуляющим числом данного уровня является только -∞, т.е.:

 

 

 

Очевидно, данная формула будет справедлива и для +∞. Но в качестве обнуляющих чисел в таблице 1 мы отражали только числа, которые являются началами на предыдущих уровнях. Для уровня сложения началом предыдущих уровней является только число -∞.

Для любого основания «Осн» (2, 3, 4, 5, 6 и т.д., см. табл. 1) для уровня -1 и для уровня 0 мы имеем абсолютно одинаковые особые числа: начала, простые числа и т.д.

Уровень 1. Умножение.

Возведя любое основание в степень 0 (предыдущее начало) мы получим единственное начало данного уровня – 1. Возведя основания в степень 1 (предыдущее простое число) мы получим в качестве кандидатов в простые числа данного уровня эти же основания: 2, 3, 4, 5, 6 и т.д.

Те числа из них, которые можно разложить с помощью данного действия (умножения), простыми числами не будут. В таблице 1 желтым цветом выделены те кандидаты в простые числа, которые можно разложить с помощью данного действия, и которые тем самым простыми числами не являются.

В итоге на данном уровне мы получим простые числа, которые собственно таковыми и являются в математике: 2, 3, 5, 7 и т.д.

 

Обратными простыми числами на данном уровне будут числа:  и т.д.

 

Обнуляющими числами на данном уровне будут числа 0 и -∞, являющиеся началами на предыдущих уровнях. При этом -∞ будет являться обнуляющим числом только частично. Потому что при умножении его на отрицательные числа (обратные числа предыдущего уровня: -1, -2, -3, -4 и т.д.) мы получим +∞.

Уровень 2. Действие выше уровня умножения.

Как мы писали выше, данное действие похоже на операцию возведения в степень, но в отличие от нее обладает свойством коммутативности.

Кандидатами в начала на данном уровне будут числа, равные основаниям: 2, 3, 4, 5, 6 и т.д. А кандидатами в простые числа будут основания, возведенные в степени, являющиеся простыми числами предыдущего уровня (2, 3, 5, 7 и т.д.). Те кандидаты в начала, которые являются простыми числами данного уровня (например, 4 = 22) или разлагаются с помощью данного действия на простые числа, не будут являться началами данного уровня. И те кандидаты в простые числа, которые разлагаются с помощью данного действия на простые числа (например,  (основание 2)), не будут являться простыми числами данного уровня.

 

Обратными простыми числами на данном уровне будут числа вида: , , ,  и т.д.

 

Обнуляющим числом данного уровня будет начало предыдущего уровня – 1. Также частично обнуляющими числами будут начала предыдущих уровней: 0 и -∞. Не в любом случае при участии этих чисел в данном действии мы получим их самих же. Например, при участии числа 0 в данном действии с обратными числами предыдущего уровня ( и т.д.) мы получим:

 

 

 

Итоги

Свойства. Все вышеописанные математические действия (любой уровень) обладают свойствами коммутативности, ассоциативности и дистрибутивности. В качестве примера покажем дистрибутивность действия ниже уровня сложения:

 

 

 

Порядок выполнения действий. Если выражение записано без скобок, то сначала выполняются действия более высокого уровня, а затем действия меньшего уровня. Т.е. выражение (28) можно записать без скобок:

 

 

 

по аналогии с выражением:

 

 

 

Обратные числа. Из таблицы 1 видно, что для всех уровней математических действий выполняется правило: обратные числа того или иного уровня не могут быть меньше предыдущего начала. Например, для сложения обратные числа: -1, -2, -3, -4 и т.д. Они не меньше числа -∞. Для умножения обратные числа:  и т.д. Они не меньше числа 0. Для действия уровня 2 обратные числа: , , ,  и т.д. Они не меньше числа 1.

 

Простота числа 1. Как известно, в математике число 1 не является простым. Также оно не является составным. Оно представляет собой некий другой класс чисел, состоящий из одного числа, и определение которому не дано. Как мы уже выше писали, простые числа в математике это простые числа уровня 1, уровня умножения. И на этом уровне число 1 является началом, но не простым числом. Но число 1 является единственным простым числом уровня 0, уровня сложения. Тем самым число 1 можно считать сверхпростым. Это единственное натуральное число, которое нельзя разложить на более маленькие натуральные числа с помощью операции сложения.

Что же касается числа 0, то это еще более простое число, чем число 1, если принять во внимание уровень математических действий -1. Оно является самым уникальным.

Уровень иррациональности чисел. Из курса математики известно, что есть числа целые, рациональные, иррациональные и т.д. Но можно ввести такое понятие, как уровень иррациональности чисел.

Посмотрим таблицу 1, колонку «Обратные простые числа». Для уровня 0 это число -1. Если учесть не только простые, но любые обратные числа данного уровня, то мы получим все отрицательные числа: -1, -2, -3, -4 и т.д. Данные числа можно считать иррациональными уровня 0. Почему? Иррациональность – это то, что не поддается какой-то логике, пониманию. Можно видеть на столе 2 яблока, можно видеть на столе 1 яблоко, можно даже видеть на столе 0 яблок, т.е. их отсутствие. Но что такое -1 яблоко? Здесь уже есть некоторая степень иррациональности. Иррациональность уровня 0.

 

Перейдем к уровню 1. Обратными числами здесь являются числа вида:  и т.д. Это иррациональные числа уровня 1. Данные числа не являются целыми. И это тоже уровень иррациональности. Можно ли быть наполовину беременной?

 

Перейдем к уровню 2. , , ,  и т.д. – данные числа являются иррациональными уровня 2. И в математике данные числа уже являются общепринятыми иррациональными числами.

Как перейти на следующий уровень иррациональности? Возвести основание (например, число 2) в степень предыдущего по уровню иррационального числа. Таким образом, можно получить следующий ряд чисел по мере роста их уровня иррациональности:

 

-1 – 0-ой уровень

 

 – 1-ый уровень

 

 – 2-ой уровень

 

 – 3-ий уровень

 

 – 4-ый уровень

 

И т.д.

Выводы

1. Введено понятие уровня коммутативного математического действия над числами.

2. Рассмотрены математические действия от уровня -1 до уровня 2.

3. Рассмотрены обратные числа от уровня 0 до уровня 2.

4. Рассмотрены простые числа от уровня -1 до уровня 2.

5. Введено понятие уровня иррациональности чисел.

Библиографический список:

1. Нестеренко Ю. В. Теория чисел: учебник для студентов высших учебных заведений. -М.: Издательский центр «Академия», 2008. - 272 с.
2. Гашков С.Б. Арифметика. Алгоритмы. Сложность вычислений: учеб. пособие для студентов вузов с углубленным изучением математики / С.Б. Гашков, В.Н. Чубариков; под ред. В.А. Садовничего. - 3-е изд., испр. -М.: Дрофа, 2005. - 320 с.
3. Арифметика. [Электронный ресурс] // URL: https://ru.wikipedia.org/wiki/Арифметика (дата обращения: 06.04.2023).
4. Число. [Электронный ресурс] // URL: https://ru.wikipedia.org/wiki/Число (дата обращения: 06.04.2023).




Комментарии пользователей:

16.04.2023, 22:48 Цорин Борис Иосифович
Отзыв: {1} "Можно ввести также понятие обнуляющего числа. Если данное число участвует в том или ином действии, то результатом данного действия будет это число. Например, для умножения это 0" - так-так, а для сложения? {2} Знаком ли автор статьи с теорией групп? {3} Заметил ли автор, что его "следующее по уровню после умножения действие" имеет не два, а три операнда, и коммуникативно только относительно двух из трех? {4} Вводит ли автор новые понятия ради упражнения мозга или планирует извлечь из них хоть какую-то пользу для математики или иных наук? {5} Уверен ли автор в своем утверждении, что понятие "иррациональные числа" означает именно "нелогичные и не поддающиеся пониманию числа"? Не хочет ли автор проверить это утверждение хотя бы при помощи гугла или википедии?


17.04.2023, 2:18 Портон Виктор Львович
Отзыв: Не проверял, но полагаю, что ошибок в рассчетах нет: математические действия довольно простые. Но содержание статьи оставляет некоторые замечания: 1. Не приведено никакого обоснования научной важности данного исследования через связи с остальной математикой. 2. Начиная читать статью, в соответствии с ее заглавием, я надеялся получить некоторую классификацию широкого класса иррациональных чисел, но к сожалению вместо этого введены некие достаточно узкие классы чисел, ни в один из которых многие числа не попадают; то есть, классификацией иррациональных чисел статью назвать нельзя. В целом, идея интересная и нетривиальная. Потому я рекомендую статью к публикации, несмотря на сомнительную пользу для остальной математики: место в интернете стоит дешево и авось найдется какое-то применение, например, в криптографии.


17.04.2023, 9:43 Усов Геннадий Григорьевич
Отзыв: 1. В таблице 1 числа 0, 1, 2^2 и т.д. объявляются простыми. Тогда нужно сменить определение простых чисел. 2. "Кандидаты в простые числа" Почему не сказать просто - составные числа. Может быть и математику надо переменовать? 3. И в самом конце статьи - переход из 2-го в 4-ый уровень понятны, а переход в 1-ый и 0-ой - надуман.


18.04.2023, 1:09 Частухин Александр Евгеньевич
Отзыв: {1} «так-так, а для сложения?» - См. в статье табл. 1. Для сложения -∞. Также и в тексте есть в разделе «Уровень 0. Сложение.». {2} «Знаком ли автор статьи с теорией групп?» - Не в достаточной степени как хотелось бы. {3} «…имеет не два, а три операнда, и коммуникативно только относительно двух из трех?» - Это Вы про Осн? Вы его посчитали как третьего? {4} «Вводит ли автор новые понятия ради упражнения мозга или планирует извлечь из них хоть какую-то пользу для математики или иных наук?» - Упражнение мозга это всегда полезно. Что касается пользы, то мы не можем знать заранее и наверняка, где это может пригодиться. Думаю Танияма не предполагал, что его работы приведут в конечном счете к доказательству теоремы Ферма. {5} Уверен ли автор в своем утверждении, что понятие "иррациональные числа" означает именно "нелогичные и не поддающиеся пониманию числа"? – В некотором роде это так. Числа, которые нельзя записать с помощью обыкновенной дроби. Т.е. записывая их в виде десятичного числа, мы не знаем какая будет следующая цифра. Т.е. число не поддается логике. Число 2,345345345345… поддается логике, а число пи нет. В чем собственно вопрос? Вы думаете, я не знаю какое значение иррациональных чисел в математике? Это вроде в школе проходят.


18.04.2023, 1:11 Частухин Александр Евгеньевич
Отзыв: {1}. «В таблице 1 числа 0, 1, 2^2 и т.д. объявляются простыми.» - Что значит объявляются? В статье четко сказано: «Здесь простые числа понимаются в более широком смысле, чем общепринято в математике.». «Тогда нужно сменить определение простых чисел.» - Расширить понятие по-Вашему никак нельзя? {2}. «Почему не сказать просто - составные числа.» - Простите, а Вы внимательно статью читали? По всей видимости только бегло пролистали. «Может быть и математику надо переменовать?» - Сперва давайте внимательно научимся читать. Авось и потребность в переименовании математики отпадет сама собой. {3}. «И в самом конце статьи - переход из 2-го в 4-ый уровень понятны, а переход в 1-ый и 0-ой - надуман.» - И Вы можете обосновать почему надуман?


18.04.2023, 1:12 Частухин Александр Евгеньевич
Отзыв: Виктор Львович, благодарю за рекомендацию. {1} «но к сожалению вместо этого введены некие достаточно узкие классы чисел, ни в один из которых многие числа не попадают» - Напиште пжл какие числа не попали.


18.04.2023, 5:52 Усов Геннадий Григорьевич
Отзыв: 3}. «И в самом конце статьи - переход из 2-го в 4-ый уровень понятны, а переход в 1-ый и 0-ой - надуман.» - И Вы можете обосновать почему надуман? ------ Это не я, а Вы должны доказать переход в в 1-ый и 0-ой: там общее такое, а здесь общее такое. {1}. «В таблице 1 числа 0, 1, 2^2 и т.д. объявляются простыми.» - ... "Расширить понятие по-Вашему никак нельзя?" ----- А зачем? Вы хотите все изменить в математике?


18.04.2023, 6:10 Усов Геннадий Григорьевич
Отзыв: "Цели:Объединить математические действия над числами в некоторую общую схему. Ввести понятие уровня коммутативного математического действия." - "Данный подход является новым в математике, и может дать возможность по-новому посмотреть на такие понятия, как простые числа, иррациональные числа и т.д." ------ А чем Вам не нравится существующие понятия в математике? Приведите пример. .....


18.04.2023, 7:10 Цорин Борис Иосифович
Отзыв: {1} Если Вы бесконечности используете как числа, и "-бесконечность" объявляете "обнуляющим числом" сложения, получается, что "-бесконечность"+"+бесконечность" у Вас равно "-бесконечности"? Или "-бесконечность" у Вас число, а "+бесконечности" Вы в этом отказываете? {3} Именно "Осн". Без него результат действия не вычислить, от него результат действия зависит - значит, операнд. {4} Танияма все-таки сформулировал теорему для уже имеющихся терминов, а Вы наоборот, ввели кучу новых терминов без каких-либо теорем. {5} Вопрос в том, что подобные утверждения сродни утверждению, что соревнования по стрельбе из лука связаны с выращиванием овощей.


18.04.2023, 23:33 Частухин Александр Евгеньевич
Отзыв: {3}. «Это не я, а Вы должны доказать переход в в 1-ый и 0-ой: там общее такое, а здесь общее такое.» - В статье же есть все обоснования переходов. Написано как спуститься на один уровень и как подняться на один уровень. А с Вашей стороны несколько странно делать утверждения – «надуман» - и потом говорить что я ничего не должен. {1} «А зачем? Вы хотите все изменить в математике?» - А зачем к целым числам добавили дробные числа, комплексные числа, тем самым расширив понятие числа? Сидели бы только на целых числах. Это по-Вашему означает все изменить в математике? «А чем Вам не нравится существующие понятия в математике? Приведите пример. .....» - Слово «не нравится» тут не уместно. Ну вот Вам пример. Он собственно есть в статье. В математике есть простые числа. Есть также составные числа. Число же 1 не относится ни к простым, ни к составным. По-сути это отдельный класс чисел, состоящий только из одного числа. В итоге получается, что нет общей картины. Как связан этот отдельный класс чисел, состоящий из одного числа, с другими классами чисел: простыми или составными? В статье предлагается ввести такую связь с помощью расширения понятия простого числа. Получится число 1 это простое число уровня 0, а обычные простые числа (2, 3, 5, 7…) это простые числа уровня 1. Получается, что число 1 еще проще, чем простые числа, если сравнивать их по уровню. В статье про это написано.


18.04.2023, 23:35 Частухин Александр Евгеньевич
Отзыв: {1} «"-бесконечность"+"+бесконечность" у Вас равно "-бесконечности"? Или "-бесконечность" у Вас число, а "+бесконечности" Вы в этом отказываете?» - Все гораздо проще. Во-первых в статье написано: «Очевидно, данная формула будет справедлива и для +Беск. Но в качестве обнуляющих чисел в таблице 1 мы отражали только числа, которые являются началами на предыдущих уровнях. Для уровня сложения началом предыдущих уровней является только число -Беск.». Естественно + и – Беск не равны. И их обеих можно отнести к числам. Но если использовать натуральные числа больше 1 в качестве основания Осн, то обнуляющим числом сложения будет только –Беск. Пожалуйста, если использовать в качестве Осн дробные числа (например 1/2), то +Беск тоже станет обнуляющим числом сложения. Но в статье не рассматривались дробные основания Осн. {3} «Именно "Осн". Без него результат действия не вычислить, от него результат действия зависит - значит, операнд.». – Я не спорю что это операнд. Но числа «a», «b» с одной стороны и «Осн» с другой в том или ином действии находятся в разных ипостасях. Давайте на примере такой аналогии. Муж и жена равные по закону выясняют вдвоем отношения (участвуют в коммутативном действии). Что-то не получается выяснить. И они продолжают это выяснять в суде (следующий уровень взаимодействия). Там они тоже в равном положении. Но в суде добавляется еще судья (аналог Осн). Естественно он находится не в равном положении с мужем и женой. Он представитель власти. И вот Вы мне говорите. Он тоже участник взаимодействия и он не равен мужу и жене в правах, точнее в полномочиях. То что не равен никто не спорит. Но задача же выяснить отношения между мужем и женой. Судья лишь помощник. Так же и здесь. Интересует взаимодействие чисел «a» и «b». И относительно этих двух чисел все рассматриваемые в статье действия коммутативны. Ну а Осн это особый операнд и относительно него проверять коммутативность и не нужно. {4} «Танияма все-таки сформулировал теорему для уже имеющихся терминов, а Вы наоборот, ввели кучу новых терминов без каких-либо теорем.» - Но ни он, ни я в равной мере можем не знать где и как пригодятся наши работы. И каждый из нас занимается тем, что ему нравится, интересно. {5} «Вопрос в том, что подобные утверждения сродни утверждению, что соревнования по стрельбе из лука связаны с выращиванием овощей.» - Слово «лук» имеет два значения. И Вы полагаете, что я пытаюсь воедино соединить два совершенно разных значения. Что конкретно я связываю воедино из того, что называется одним и тем же словом, но это совершенно разные вещи?


20.04.2023, 17:06 Усов Геннадий Григорьевич
Отзыв: (1)"В математике есть простые числа. Есть также составные числа. Число же 1 не относится ни к простым, ни к составным. По-сути это отдельный класс чисел, состоящий только из одного числа. В итоге получается, что нет общей картины. Как связан этот отдельный класс чисел, состоящий из одного числа, с другими классами чисел: простыми или составными?" --- Да, есть три вида чисел. И Вы хотите эти три вида чисел "соединить" в одно правило? Для чего? А куда Вы отнесёте 0?


20.04.2023, 17:10 Усов Геннадий Григорьевич
Отзыв: (1а) "Получится число 1 это простое число уровня 0, а обычные простые числа (2, 3, 5, 7…) это простые числа уровня 1. Получается, что число 1 еще проще, чем простые числа, если сравнивать их по уровню. " --- Здесь Вы неправы. Число 1 самое значимое число, и не может быть проще, чем другие простые числа. На этом числе построены все другие числа: гипотеза Коллатца.


20.04.2023, 17:10 Цорин Борис Иосифович
Отзыв: {1} Вы немного не на мой вопрос ответили. Видимо, невнимательно вопрос прочитали. Вопрос был не в том, является ли плюс бесконечность "обнуляющим числом", а в том, почему Вы не учитываете, что она мешает быть "обнуляющим числом" минус бесконечности. {3} Ваша аналогия некорректна. В суде (в идеале) от того, кто судья, не должен зависеть результат. Он не операнд, он оператор. {4} Если я придумаю новое слово "фыбага" и опубликую его, это будет наукой? {5} Ratio - разум, мышление, рассуждение. Ratio - взаимоотношение. Латынь. linguaeterna.com


20.04.2023, 19:24 Усов Геннадий Григорьевич
Отзыв: В выводах говорите о том, что введены понятия чисел. Но в статье Вы не определяете эти понятия как обычно принято: одной фразой. Ведь Вы впервые придумали новые понятия, так дайте им четкие определения.


21.04.2023, 0:21 Частухин Александр Евгеньевич
Отзыв: {1} «И Да, есть три вида чисел. И Вы хотите эти три вида чисел "соединить" в одно правило?» - А почему нет? «Для чего?» - Ваши вопросы «зачем?» и «для чего?» меня удивляют. «А куда Вы отнесёте 0?» - В статье написано и про это. Простые числа (2, 3, 5, 7…) являются простыми числами уровня 1 – уровня умножения. Число 1 – единственное простое число уровня 0, уровня сложения. Число 0 – единственное простое число уровня -1. {1а} «Здесь Вы неправы. Число 1 самое значимое число, и не может быть проще, чем другие простые числа. На этом числе построены все другие числа: гипотеза Коллатца.» - Это Вы сами увидели такой тайный смысл в гипотезе Коллатца? Кстати, а почему в гипотезе Коллатца умножают именно на 3? Это второе по значимости число после 1? И если число 1 самое значимое, то оно значит не может быть проще, чем другие простые числа? Может как раз наоборот?


21.04.2023, 0:23 Частухин Александр Евгеньевич
Отзыв: {1} «а в том, почему Вы не учитываете, что она мешает быть "обнуляющим числом" минус бесконечности.» - А почему мешает то? {3} «Ваша аналогия некорректна. В суде (в идеале) от того, кто судья, не должен зависеть результат. Он не операнд, он оператор.» - Давайте на цифрах. Допустим 1000 – это судья абсолютно справедливый. Больше 1000 – выносит более жесткие приговоры, чем нужно. Меньше 1000 – выносит более мягкие приговоры, чем надо. Вы хотите, чтобы в идеале все судьи были 1000. А теперь представьте, что эти числа и есть Осн. Если Осн будет всегда 1000, то Ваш операнд станет фиксированной величиной, т.е. перестанет быть операндом. Вы хотите, чтобы все судьи в идеале были равны по справедливости, а я хочу чтобы все Осн были равны. Но в действительности и судьи не равны по справедливости, и Осн не равны. Кроме того, Вы написали, что без Осн невозможно вычислить результат, значит это операнд. Но и без судьи в суде нельзя рассудить людей. Значит и судья это не оператор, а операнд. {4} «Если я придумаю новое слово "фыбага" и опубликую его, это будет наукой?» - Статью, состоящую из одного слова, не опубликуют. Что еще будет в Вашей статье, кроме этого слова? {5} «Ratio - разум, мышление, рассуждение. Ratio - взаимоотношение. Латынь. linguaeterna.com» - Без латыни мы можем обойтись? Даже если какое-то современное слово своим происхождением обязано латыни, то из этого не следует, что современное значение данного слова равно какому-то однокоренному латинскому слову. Похожесть может быть, не спорю. Даже при переводе с одного современного языка на другой современный язык смысл может несколько искажаться. А Вы про латынь. Давайте на родном русском.


21.04.2023, 14:40 Цорин Борис Иосифович
Отзыв: {1} Мешает, потому что "минус бесконечность" плюс "плюс бесконечность" не равно "минус бесконечности". {2} И почему мы допустим, что надо именно 1000? Ну, кроме того, что Вам очень нравится Ваша неверная аналогия. {3} Как что? Длинные пространные рассуждения, сводящиеся к фонетическому разбору слова, морфологическому, попыткам образовать от него прилагательные и глаголы и так далее. Может, даже придумаю ему значение. {4} На родном русском Вы смешали "рациональный" в значении "разумный, логичный" и "рациональный" в значении "представимый в виде отношения целых чисел".


21.04.2023, 22:50 Частухин Александр Евгеньевич
Отзыв: {1} «Мешает, потому что "минус бесконечность" плюс "плюс бесконечность" не равно "минус бесконечности".» - А чему это будет равно? {2} «И почему мы допустим, что надо именно 1000?» - А какая принципиальность в том, какое число будет соответствовать абсолютно справедливому судье? Давайте 2000. «Ну, кроме того, что Вам очень нравится Ваша неверная аналогия.» - Я обосновал, почему аналогия верная. В натуральном логарифме число «е» это оператор или операнд? {3} «Как что? Длинные пространные рассуждения, сводящиеся к фонетическому разбору слова, морфологическому, попыткам образовать от него прилагательные и глаголы и так далее.» - Если Ваша гипотетическая статья будет по лингвистике, то я не берусь судить ее научность. Во всяком случае, я бы для начала ее прочитал. «Может, даже придумаю ему значение.» - Ну без значения будет совсем жиденько. {4} «На родном русском Вы смешали "рациональный" в значении "разумный, логичный" и "рациональный" в значении "представимый в виде отношения целых чисел".» - Т.е. по-Вашему в данном случае два слова "рациональный" это омонимы?


22.04.2023, 8:12 Цорин Борис Иосифович
Отзыв: {1} Это называется "неопределенность". Поэтому вне вычисления пределов бесконечности обычно вообще ни с чем не складывают. {2} Ну а раз между 1000 и 2000 разницы для Вас нет, то это все-таки операнд, а не судья. {2a} Операнд. Натуральный логарифм - такой же, как и прочие. Он свое отдельное обозначение получил исключительно потому, что намного чаще других применялся. {4} Я не профессиональный филолог и не возьмусь судить, какой тут термин уместнее - "омонимы" или "многозначное слово". Но Вы таки соединяете два разных значения.


22.04.2023, 23:09 Частухин Александр Евгеньевич
Отзыв: {1} «Это называется "неопределенность"» - И поскольку –Беск+Беск=Неопр Вы делаете вывод, что +Беск мешает –Беск быть обнуляющим числом сложения? Во-первых, у умножения похожая картина. Со школы всех учат, что 0*а=0. Однако если а=Беск или а=-Беск мы получим ту же неопределенность. Значит 0 не является обнуляющим числом умножения? Т.е. эту коллизию обойти никак нельзя? Во-первых, что в случае сложения бесконечностей, что умножения 0 на Беск мы получаем неопределенность. А что это? Это по-сути любое число. Т.е. это в равной мере –Беск+Беск=-Беск и –Беск+Беск=+Беск и –Беск+Беск=а, где а – любое число. Поэтому никакой проблемы здесь нет и ничто ничему не мешает быть обнуляющим числом. Во-вторых, раз уж Вас так смущает эта неопределенность, то можно сделать замечание, что обнуление действует только на числа, которые не являются другими обнуляющими числами, т.е. «стравливание» двух обнуляющих чисел между собой является исключением из правила и не отменяет само правило. {2} «Ну а раз между 1000 и 2000 разницы для Вас нет, то это все-таки операнд, а не судья.» - Интересно. {2a} «Операнд. Натуральный логарифм - такой же, как и прочие.» - Вам не кажется, что Вы значение «оператор» понимаете очень узко? В математике у Вас оператор будет только по сути само действие: сложение, умножение, логарифм, а все сопутствующие числа, если они есть автоматически являются операндом. Почитайте об операторах в математике. Оператор это по-сути функция, например у=х^2. Вы сразу скажете, что оператором является только действие возведения в степень, а 2 - это операнд, тогда как вся функция х^2 может быть определена как оператор. А у меня в статье действие ниже уровня сложения и действие выше уровня умножения определены как операторы между числами a и b, а Осн это константа, а не операнд. {4} «Но Вы таки соединяете два разных значения.» - Вы упоминали лук. Здесь одно слово обозначает два значения, которые между собой никак не связаны совершенно. А слово «рациональный» в отношении числа и в отношении например рационального поведения имеет связь. Задайте себе вопрос, почему рациональные числа назвали именно рациональными, а не скажем холодными? Почему простые числа назвали простыми, а не железными? Никакой связи нет?


24.04.2023, 14:27 Цорин Борис Иосифович
Отзыв: {1} "Значит 0 не является обнуляющим числом умножения?" - а псевдоколлизия разрешается просто: бесконечность не входит в множество действительных чисел, она начинает использоваться при анализе пределов выражений, а не при их вычислении. {2} "Оператор это по-сути функция, например у=х^2. Вы сразу скажете, что оператором является только действие возведения в степень, а 2 - это операнд, тогда как вся функция х^2 может быть определена как оператор" - может-может. Но вот беда: если Вы хотите идти этим путем, тогда Вы объявили "следующим уровнем после умножения" не одно действие, а бесконечно много действий с разными основаниями.{4} "Задайте себе вопрос, почему рациональные числа назвали именно рациональными" - именно поэтому я начал с латыни. Смотрите сообщение от 20.04.2023, 17:10.


24.04.2023, 23:09 Частухин Александр Евгеньевич
Отзыв: {1} «а псевдоколлизия разрешается просто: бесконечность не входит в множество действительных чисел, она начинает использоваться при анализе пределов выражений, а не при их вычислении.» - Разве важно куда формально математики определят бесконечность? Гораздо важнее, что она может участвовать с действительными числами в тех или иных действиях и являться результатом того или иного действия над действительными числами. {2} «может-может. Но вот беда: если Вы хотите идти этим путем, тогда Вы объявили "следующим уровнем после умножения" не одно действие, а бесконечно много действий с разными основаниями.» - Разве не проще все Ваши «бесконечное количество действий» в плане терминологии обозначить несколько иначе? Они на одном уровне. Формула у них одинаковая. Разное лишь основание. Давайте условимся их называть одним действием. Но каждое из них будет образовывать в зависимости от основания свой подтип. В итоге получим, что для действия сложения и умножения для всех оснований все подтипы одинаковы. А для действия выше уровня умножения подтипы уже разные в зависимости от Осн. Собственно это и приведено в таблице 1. Поэтому для сложения и умножения можно не указывать по какому основанию они идут. А для уровня 2 и -1 указывать обязательно. Кстати и в плане простых чисел. На уровне 0 мы имеем только одно простое число, а на уровне 1 их уже много. Ну и что теперь? {4} «именно поэтому я начал с латыни.» - Вы конечно явно не ответили на вопрос. Я могу догадываться, что Вы склоняетесь к версии, что рациональные числа названы так в соответствии с латинским «Ratio – взаимоотношение». А вот в этой статье https://translated.turbopages.org/proxy_u/en-ru.ru.b14c12f6-6446d826-5fe926a3-74722d776562/https/math.stackexchange.com/questions/2440195/irrational-number-etymology-of-the-word почему то иррациональное число называют как "число, не являющееся логичным или разумным". Можно спорить конечно как в действительности в истории сложилось такое название рациональные/иррациональные числа. Но все же современное значение слова рациональный, это прежде всего «разумный, постижимый разумом» и т.д. Это касается и рационального поведения, и рационального выбора, и рационального человека, и даже рационального числа. Оно поддается логике. Записывая его Вы можете знать какая будет следующая цифра, потому что логика данного числа понятна, число поддается логике. А иррациональное число не поддается логике. Записывая его, Вы не можете знать, какая будет следующая цифра. Вы можете привести ссылку на Википедию или еще что-то, где будет написано, что рациональный происходит от слова «Ratio – взаимоотношение». Все же согласитесь, это будет мнение автора статьи в Википедии или возможно другого источника. По смыслу слова разве не кажется, что рациональное число ближе к значению «разумный, постижимый разумом», чем «взаимоотношение»?


25.04.2023, 7:00 Цорин Борис Иосифович
Отзыв: {1} Введем еще одно число: репку. Если к репке прибавить 2, мы получим репку с нарисованной на ней двойкой. Значит, репка - полуобнуляющее число для сложения. {1a} Дайте угадаю: "являться результатом действия над действительными числами" - это Вы решили, что 2/0=бесконечности? Увы, это только некоторые калькуляторы так говорят, а не математика. 2/0=неопределенности, а бесконечность получается при делении 2 на функцию, стремящуюся к нулю, а не равную ей. На функцию, не на число. Или Вы снова заявите что-нибудь вроде "Разве важно, что там говорят математики? Важно, что я говорю"? ) {2} Мы все ширим и ширим изменения в терминологии. Теперь мы уже разные действия называем одним действием. А почему и зачем? А просто чтоб табличка красивая получилась. {4} Вы понимаете, на что дали ссылку? Вы дали ссылку на текст, где неспециалист задается вопросом, который сводится к "почему термин образовали от слова на латыни, которое имеет несколько значений, а не от слова, которое имеет одно значение". Это, оказывается, "статья"? А потом Вы снова вернулись к своему заблуждению "раз у слова два значения, то отождествим их". {4a} Нет, по смыслу слова это не ближе, потому что "рациональный" - это "представимый в виде отношения двух целых чисел".


25.04.2023, 18:10 Частухин Александр Евгеньевич
Отзыв: {1} «Введем еще одно число: репку. Если к репке прибавить 2, мы получим репку с нарисованной на ней двойкой. Значит, репка - полуобнуляющее число для сложения.» - Вы меня пугаете). {1a} «Дайте угадаю: "являться результатом действия над действительными числами" - это Вы решили, что 2/0=бесконечности?» - Вы не угадали. «2/0=неопределенности» - Именно. А знаете почему? Представьте Вы делите 1 на 1 и 1 на -1. В первом случае получим 1, во втором -1. Потом делим 1 на 0.1 и на -0.1. Получим 10 и -10. Потом на 0.01 и -0.01. Получим 100 и -100. Ну и так далее. А теперь мы делим на +0 и на -0, которые равны между собой. Получим и +Беск и –Беск в равной мере. Т.е. результатом действия является сразу два числа в равной мере. Это собственно и есть неопределенность, когда сразу несколько вариантов результата на одно действие. А если взять например натуральный логарифм от 0, то простите, тут неопределенности не будет. Будет –Беск. «На функцию, не на число.» - Так что не только в функциях можно оперировать бесконечностями. Также если делить 1 на бесконечность, то получим 0. Никакой неопределенности нет. «Или Вы снова заявите что-нибудь вроде "Разве важно, что там говорят математики? Важно, что я говорю"? )» - Никому нельзя верить. Мне – можно). {2} «Мы все ширим и ширим изменения в терминологии.» - Еще одно слово придумали? Пора Вам написать статью про него). «Теперь мы уже разные действия называем одним действием.» - Но это ведь Вы назвали их разными действиями. «А почему и зачем? А просто чтоб табличка красивая получилась.» - А раз табличка красивая получилась, это значит определенная логика в ней есть. {4} «А потом Вы снова вернулись к своему заблуждению "раз у слова два значения, то отождествим их".» - Я не отождествлял их. {4a} «Нет, по смыслу слова это не ближе, потому что "рациональный" - это "представимый в виде отношения двух целых чисел".» - Давайте по другому. Говорил же лучше не связываться с истоками происхождения слова от латинского. Здесь доподлинно неизвестно как произошло слово. Можно спорить. Забудем об этом. Давайте вот так. С нуля в России открыли числа, которые можно записать в виде обыкновенной дроби, и числа, которые нельзя так записать. Надо их назвать как-то. Какие варианты? Первый вариант – назвать их отношенческие/неотношенческие числа. Потому что первые можно выразить через отношение целых чисел, а другие нельзя. Второй вариант – назвать их познаваемые/непознаваемые числа. Потому что числа, которые можно выразить через дробь, понятны, всегда можно знать какая будет следующая цифра. Кроме того, можно найти всегда такую систему счисления, в которой их запись будет конечна. Например, число 1/3. Это в десятичной системе запись будет бесконечна: 0.33333333333… А если взять троичную систему счисления, то оно запишется просто: 0.1. Конечная запись, понятная. Поэтому и название – познаваемые. Ничего подобного не будет с числом «пи» например. Какую бы систему счисления мы ни взяли, запись числа будет бесконечной, и мы не можем знать, какая будет следующая цифра. Значит и число непознаваемое. Как видите варианта 2. Оба могут использоваться. Но я использую именно второй вариант. Имею право? Имею. А теперь вернемся к любимой Вами латыни. Окажется, что можно «отношенческий» и слово «познаваемый» назвать одним словом «рациональный». Ради Бога. Можно. В чем собственно загвоздка? Я же Вам дал пояснения как я понимаю рациональные/иррациональные числа в статье введя понятие уровень иррациональности. Представьте себе выражение «рациональное что-то». И это «что-то» не уточняется. Для большинства людей это выражение будет пониматься как «разумное что-то», «познаваемое что-то», «подчиняющееся какой-то логике что-то». А для Вас это будет означать «разумное что-то», «познаваемое что-то», «подчиняющееся какой-то логике что-то» если «что-то» не равно «число». А если «что-то» равно «число», то надо это выражение понимать как «отношенческое что-то». И чье понимание будет рациональнее? И самое главное, то пояснение рационального/иррационального числа, которое я дал тоже вполне приемлемо. Вполне объясняет, почему число рациональное или нет. Любому человеку это понятно. Зачем спорить на тему как термин «рациональные/иррациональные числа» произошел в истории, от какого слова? Это ведь спорный вопрос, и доподлинно неизвестно как было на самом деле. Если Вам это принципиально важно, то давайте покопаемся в каких-нибудь первоисточниках, оригиналах текста. Но навряд ли мы в этих первоисточниках найдем такой текст: «Я называю открытые мною числа иррациональными от слова отношение, потому что их нельзя выразить через отношение целых чисел» или «Я называю открытые мною числа иррациональными, потому что они не поддаются логике при их записи, это набор случайных цифр». Поэтому это спорный вопрос.


25.04.2023, 18:43 Цорин Борис Иосифович
Отзыв: Я Вас не пугаю, я Вас пародирую. {1} Вот так, как Вы сейчас про 0.01, рассуждают при переходе к пределам. Деление на функцию, стремящуюся к нулю. А деление на ноль не определено. Потому что результатом деления является такое число, которое при умножении на делитель равняется делимому. {2} "Еще одно слово придумали?" - откройте словарь. Найдите там слово "ширить". Закройте словарь. {2a} "Но это ведь Вы назвали их разными действиями" - если это одно действие, то "Осн" - оператор. Если "Осн" - операция, то это разные действия. {2b} "А раз табличка красивая получилась, это значит определенная логика в ней есть" - пятью пять двадцать пять, шестью шесть тридцать шесть, семью семь сорок семь. И красиво, и логика есть, только ни к математике, ни к науке отношения не имеет. {4} "Конечная запись, понятная. Поэтому и название – познаваемые" - заметьте, это Вы сейчас придумываете свой термин, а не трактуете имеющийся. Имеющийся трактуется иначе. "Ничего подобного не будет с числом «пи» например. Какую бы систему счисления мы ни взяли, запись числа будет бесконечной, и мы не можем знать, какая будет следующая цифра" - вот тут Вы неожиданно попали в точку. Число "пи" относится к так называемым трансцендентным числам. И вот термин "трансцендентный" как раз дословно и переводится как "не поддающийся познанию". Но не каждое иррациональное число трансцендентно. {4a} "И самое главное, то пояснение рационального/иррационального числа, которое я дал тоже вполне приемлемо. Вполне объясняет, почему число рациональное или нет. Любому человеку это понятно. Зачем спорить на тему как термин «рациональные/иррациональные числа» произошел в истории, от какого слова?" - увы Вам, но наука как раз оперирует критерием истинности, а не критерием ежупонятности. {4b} "Если Вам это принципиально важно, то давайте покопаемся в каких-нибудь первоисточниках, оригиналах текста" - первоисточником можно считать "Начала" Евклида. Там, правда, не "рацио", а "логос", по-гречески тоже многозначное слово: и "разум", и "наука", и "слово", и "причина", и "отношение" и много чего еще. Сначала Евклид рассуждает об отношениях и пропорциях, постоянно используя для обозначения отношений, пропорций и действий с ними различные формы слова "логос" и словосочетания с этим словом, а потом вводит иррациональные в нашем понимании числа, используя для них слово "алогос". По-моему, вывод очевиден. Ну а слово "иррациональный" впервые появилось именно в переводах Евклида на латынь.


25.04.2023, 19:04 Цорин Борис Иосифович
Отзыв: В пункте {2a} моего сообщения от 18:43 описка: вместо слова "оператор" должно быть слово "операнд".


26.04.2023, 0:45 Частухин Александр Евгеньевич
Отзыв: «Я Вас не пугаю, я Вас пародирую.» - По Вашей пародии можно скорее сделать вывод, что Вы перетрудились. И как доказательство этому даже ошибки делаете. {1} «Вот так, как Вы сейчас про 0.01, рассуждают при переходе к пределам. Деление на функцию, стремящуюся к нулю.» - Необязательно именно так рассуждать, чтобы прийти к такому же выводу. «А деление на ноль не определено.» - Кем не определено? «Потому что результатом деления является такое число, которое при умножении на делитель равняется делимому.» - Это требование Вы сами придумали? Например, при возведении в квадрат -1 мы получим 1, а при извлечении квадратного корня из 1 условились считать в качестве результата всегда положительное число, а данном случае 1. Могут же математики условиться, когда захотят. Как видите, результат обратного действия может не совпадать в точности с первоначальным числом. В Вашем же примере 2/0 в результате получится два результата, что эквивалентно неопределенности: +Беск и –Беск. Умножая же их обратно на 0, мы получим тоже неопределенность – любое число, которое может равняться и 2. {2} «откройте словарь. Найдите там слово "ширить". Закройте словарь» - Ну хорошо. На одну статью Вам будет писать меньше. Вижу, Вы чаще, чем я разгадываете кроссворды. Тоже хорошо. {2a} «если это одно действие, то "Осн" - оператор. Если "Осн" - операция, то это разные действия.» - Вы яро не хотите вводить другое деление, например «подтип» действия? {2b} «пятью пять двадцать пять, шестью шесть тридцать шесть, семью семь сорок семь. И красиво, и логика есть, только ни к математике, ни к науке отношения не имеет.» - Прошу прощения, а какая здесь логика? В Вашем примере разве что только красота может присутствовать. Но без логики ей трудно. {4} «заметьте, это Вы сейчас придумываете свой термин, а не трактуете имеющийся. Имеющийся трактуется иначе.» - Я хочу Вам напомнить, что спор был о происхождении термина, почему термин назвали именно так. А не о математической его трактовке. «вот тут Вы неожиданно попали в точку. Число "пи" относится к так называемым трансцендентным числам. И вот термин "трансцендентный" как раз дословно и переводится как "не поддающийся познанию". Но не каждое иррациональное число трансцендентно.» - Как хорошо, что Вы перешли к трансцендентным числам. И вот заметьте. Если понимать рациональные/иррациональные числа так, как я это понимаю, то вот что получится. Рациональные числа – имеющие логику (если по-простому). Иррациональные числа – не имеющие логики. И трансцендентные числа – полностью не поддающиеся познанию. Видно прослеживается иерархия терминов в плане познаваемости. И есть понятие мера иррациональности, который можно понимать как мера логичности. И что получится. Для рациональных чисел она равна 1. Для иррациональных нетрансцендентных – 2, и для трансцендентных - больше или равна 2. Опять же видна иерархия в плане познаваемости. Ваше упоминание трансцендентных чисел, как абсолютно не поддающихся познанию чисел, лишь подтверждает, что рациональность/иррациональность это термин имеет отношение именно к познаваемости числа, его логичности. {4a} «увы Вам, но наука как раз оперирует критерием истинности, а не критерием ежупонятности.» - Увы, но ежупонятность это термин для простого обихода. А для научной среды то же самое уже называют истинностью. {4b} «а потом вводит иррациональные в нашем понимании числа, используя для них слово "алогос". По-моему, вывод очевиден.» - Прошу прощения, а какой вывод очевиден? Если логос Вы назвали как "разум", "причина". А если мы можем знать причину чего-то, то мы знаем логику чего-то. Т.е. опять же «причина» в смысле познаваемости чего-то. То «алогос» это вероятно может значить и то, что не поддается логике, нелогичное, противоречащее логике. Я понимаю, что Вы хотите понимать «логос» только как «отношение». Но это будет лишь Ваша трактовка. Если сейчас Вам скажут то-то и то-то алогично. Вы как это поймете? «Ну а слово "иррациональный" впервые появилось именно в переводах Евклида на латынь.» - Надеюсь, Вы понимаете, что перевод это тоже интерпретация. Переводчик мог увидеть труды Евклида, и многозначное слово «логос», увидев контекст, где оно применяется, перевести как рациональное в смысле логичное, познаваемое и т.д. Этого нельзя исключить. «первоисточником можно считать "Начала" Евклида. Там, правда, не "рацио", а "логос"» - Похвально, что Вы оперируете такими трудами, греческими и латинскими терминами. Но спор на тему как именно произошел термин, какой изначально смысл вложил автор или переводчик. Однозначно мы это не докажем. Возможны варианты трактовки. Вы читали в оригинале Евклида, если пишете «Сначала Евклид рассуждает об отношениях и пропорциях, постоянно используя для обозначения отношений, пропорций и действий с ними различные формы слова "логос" и словосочетания с этим словом»?


26.04.2023, 8:28 Цорин Борис Иосифович
Отзыв: {1} "Кем не определено?" - результат деления на ноль не определен согласно науке математике. Если Вы предлагаете науку переделать, то потрудитесь представить труд, в котором Ваши изменения будут учтены во всех теоремах и доказательствах, которые будут затронуты Вашими дополнениями. {1a} "Это требование Вы сами придумали?" - это определение. Откройте учебник математики. {1b} "Например, при возведении в квадрат -1 мы получим 1, а при извлечении квадратного корня из 1 условились считать в качестве результата всегда положительное число, а данном случае 1" - еще раз откройте учебник математики. Квадратных корней из единицы два: 1 и -1. Один из квадратных корней, положительный, называется арифметическим квадратным корнем. Просто слово "арифметический" в устной речи опускается так часто, что неспециалисты как-то привыкли о правильном значении этих терминов забывать. {2a} "Вы яро не хотите вводить другое деление, например «подтип» действия?" - Вы хотите написать еще один труд на пару сотен страниц, обосновав деление каждого математического действия на "подтипы"? Боюсь, от него выйдет не больше толку, чем от этой статьи. Или Вы хотите делить на подтипы только придуманное Вами действие? {2b} "Рациональные числа – имеющие логику (если по-простому)" - не "если по-простому", а "если по выдуманному". "Иерархия терминов в плане познаваемости" - угу, и еще самым познаваемым малиновые штаны надеть. Иерархия терминов в плане познаваемости, в принципе, была введена задолго до Вас, называется "последовательность изучения тем в школьном курсе". Ну а дальше школьного курса Вы все равно не уходите в своих статьях же. {2c} "Ваше упоминание трансцендентных чисел, как абсолютно не поддающихся познанию чисел, лишь подтверждает, что рациональность/иррациональность это термин имеет отношение именно к познаваемости числа" - заходите в опасные дебри. Все вокруг подтверждает Ваше мнение? ) {4a} "ежупонятность это термин для простого обихода. А для научной среды то же самое уже называют истинностью" - вау, чем докажете это глубокое заблуждение? Даже Декарт простоту называл всего лишь критерием истины, а не ее синонимом. И то, судя по современной науке, Декарт ошибался. {4b} "Прошу прощения, а какой вывод очевиден?" - ок, разжевываю. Если человек в течение значительного количества текста постоянно упоминает некое слово и производные от него в одном и том же значении, а потом образует от него еще одно слово, не поясняя детали словообразования, то очевидно, что и это слово было образовано от того же самого значения, тем паче что определение этого нового слова можно дать через это значение. {4c} "Если логос Вы назвали как "разум", "причина"" - я назвал "логос" многозначным словом. {4d} "Вы читали в оригинале Евклида" - специально заглянул в ходе нашей дискуссии, хотя уровень Вашей аргументации в последнем сообщении вызывает сомнения в том, что это еще можно назвать "дискуссией". {4e} "Переводчик мог увидеть труды Евклида, и многозначное слово «логос», увидев контекст, где оно применяется, перевести как рациональное в смысле логичное, познаваемое и т.д. Этого нельзя исключить" - мне начинает казаться, что диалог бесполезен, поскольку Вы готовы нести любую алогичную чушь, лишь бы не признавать ошибок. Евклид использовал "логос" в значении "отношение". Слово "рацио", которым было переведено слово "логос" и от которого было образовано русское слово "рациональный", имеет значение "отношение". Если даже в голове переводчика была ошибочная мысль, как Вам хочется, перевод этой ошибки не содержал. Что при этом переводчик думал - неважно. Что Вам хочется, чтобы Ваши сочинения были наукой, - тоже неважно. Важно только то, что слово "рациональный" произошло от слова "рацио" в значении "отношения", а из Ваших пяти статей к науке можно отнести только первые две. {5} После уровня аргументации в Вашем последнем сообщении у меня возник к Вам личный вопрос. Постарайтесь, пожалуйста, ответить искренне: чего ради написаны последние три статьи? Вы считаете информацию в них ценной и стремитесь поделиться с миром? Вы рассчитываете, что "прыгающие шахматы" и "семеричный календарь" будут внедрены? Вы просто жаждете признания хотя бы на уровне рецензий? Вам нужны публикации "о чем получится"? Или что?


26.04.2023, 22:49 Частухин Александр Евгеньевич
Отзыв: {1} «результат деления на ноль не определен согласно науке математике.» - Не определен в каком смысле? Люди занимающиеся наукой математикой не представляют даже что будет? Или у них есть хотя бы варианты результата? Или они просто условились считать, что не определен и не определен, отстаньте от нас? «Если Вы предлагаете науку переделать» - Это слишком громкое слово «переделать». «то потрудитесь представить труд, в котором Ваши изменения будут учтены во всех теоремах и доказательствах, которые будут затронуты Вашими дополнениями.» - Даже так? Что-то еще я должен представить? {1a} «это определение. Откройте учебник математики.» - В основном про деление пишут: «действие, обратное умножению», а не то, что Вы написали. {1b} «еще раз откройте учебник математики. Квадратных корней из единицы два: 1 и -1.» - Скажите, а почему действию «квадратный корень» можно иметь два результата сразу, а действию «деление» нельзя? Как раз при делении на ноль в Вашем примере 2/0 будет два результата. Обязательно называть это «не определено»? «Один из квадратных корней, положительный, называется арифметическим квадратным корнем.» - Замечательно. А почему при делении 2 на 0 нельзя сказать, что результата два, но при арифметическом делении будет +Бесконечность? {2a} «Вы хотите написать еще один труд на пару сотен страниц, обосновав деление каждого математического действия на "подтипы"? Боюсь, от него выйдет не больше толку, чем от этой статьи.» - Не горячитесь. «Или Вы хотите делить на подтипы только придуманное Вами действие?» - Целью работы было: «Объединить математические действия над числами в некоторую общую схему. Ввести понятие уровня коммутативного математического действия». Для сложения и умножения все подтипы равны, т.е. разные Осн не влияют на результат. Поэтому Ваше «науку переделать» не очень уместно. Для коммутативного действия выше уровня умножения Осн влияет на результат. И что теперь? {2b} «не "если по-простому", а "если по выдуманному"» - Ну Вам естественно виднее. «угу, и еще самым познаваемым малиновые штаны надеть.» - Малиновые штаны - это устоявшееся выражение или это Вы придумали только что? «Иерархия терминов в плане познаваемости, в принципе, была введена задолго до Вас, называется "последовательность изучения тем в школьном курсе".» - Вы мастер, всё перевернуть и запутать. «Ну а дальше школьного курса Вы все равно не уходите в своих статьях же.» - Вам виднее. Великие теоремы тоже порой формулируются на школьном уровне. Это лишь добавляет им величия. {2c} «заходите в опасные дебри. Все вокруг подтверждает Ваше мнение? )» - Или всё против Вас. {4a} «вау, чем докажете это глубокое заблуждение? Даже Декарт простоту называл всего лишь критерием истины, а не ее синонимом. И то, судя по современной науке, Декарт ошибался.» - Естественно глубокое заблуждение. Как иначе то? Вы писали изначально про критерии, и я писал про критерии. {4b} «Если человек в течение значительного количества текста постоянно упоминает некое слово и производные от него в одном и том же значении, а потом образует от него еще одно слово, не поясняя детали словообразования, то очевидно…» - А Вы читали в переводе или в оригинале? Кстати Ваше «очевидно» можно приравнять к Вашему же «ежупонятность»? {4c} «я назвал "логос" многозначным словом.» - Какое у него основное значение? {4d} «специально заглянул в ходе нашей дискуссии, хотя уровень Вашей аргументации в последнем сообщении вызывает сомнения в том, что это еще можно назвать "дискуссией"» - Это признак, что у Вас слабая позиция. {4e} «мне начинает казаться, что диалог бесполезен, поскольку Вы готовы нести любую алогичную чушь, лишь бы не признавать ошибок.» - То же самое можно и про Вас сказать. Вы уже не знаете, что придумать лишь бы подтвердить Ваше мнение. Вы заставляете меня и писать труд в 200 страниц и каждый раз что-то придумываете. И Вы в правильном значении применяете слово «алогичное». «Евклид использовал "логос" в значении "отношение". Слово "рацио", которым было переведено слово "логос" и от которого было образовано русское слово "рациональный", имеет значение "отношение".» - А отношение в каком смысле он понимал? Главное значение слова "рациональный" это логичный, понятный, подчиняющийся логике. Просто напоминаю Вам. Но Вы хоть приведите часть текста, на который ссылаетесь. Посмотрим его. «Важно только то, что слово "рациональный" произошло от слова "рацио" в значении "отношения"» - Сейчас слово рациональный я написал, как преимущественно понимается. И в статье я дал пояснение тоже, в каком смысле понимается слово рациональное/иррациональное число. Добавить мне нечего. Я с Вами не спорю на тему, как изначально произошло словосочетание «рациональное» число. Может Вы и правы, что Ваши рациональные числа это «отношенческие» числа. Я лишь писал, что это сложно доказать доподлинно. Я лишь писал Вам, что основным значением слова рациональный является логичный, понятный и т.д. и что такое значение слова «рациональный» также уместно и применимо к рациональным числам, наряду с Вашим словом «отношенческий». Вот и все. Вы главное не горячитесь. «а из Ваших пяти статей к науке можно отнести только первые две.» - Ну Вам в очередной раз виднее. {5} «После уровня аргументации в Вашем последнем сообщении у меня возник к Вам личный вопрос.» - Не заноситесь. Уровень был нормальный. На Ваш вопрос отвечу. Но сначала хотел Вас спросить такой вопрос. Или даже два. Нестандартных шахмат много. Вы можете почитать. В том числе полно вариаций, где фигуры ходят не так как в обычных шахматах. Универсальных календарей много придумано. Вопрос по сути Ваш же. Зачем это все придумали? Хотели поделиться с миром? Думали, что их внедрят? И т.д. Это первый вопрос. И второй. Может я ошибаюсь. Но как я понимаю все эти вариации и шахмат и календаря в основном придумали не в России. Почему так? Там больше жаждут признания люди? Больше хотят поделиться чем-то с остальным миром? Или может навязывают свои задумки всем остальным? Ваше мнение хочется узнать.


27.04.2023, 17:32 Цорин Борис Иосифович
Отзыв: {1} "Не определен в каком смысле? Люди занимающиеся наукой математикой не представляют даже что будет?" - люди, занимающиеся наукой, знают, что в арифметике результат деления на ноль не определен, то есть выражение "х разделить на 0" в арифметике не имеет значения. Люди, занимающиеся фантазированием, придумывают что-то свое или смешивают арифметику с различными алгебраическими системами. {1a} "действие, обратное умножению" - замечательно. А теперь узнайте из тех же учебников, что в математике означает "действие, обратное чему-либо". {1b} "Скажите, а почему действию «квадратный корень» можно иметь два результата сразу, а действию «деление» нельзя?" - во-первых, позанудствую, "квадратный корень" - это не действие. Действие - извлечение квадратного корня. Во-вторых, да, существуют и многозначные функции. Но вот беда - у многозначной функции 2/x все равно нет значений в точке 0, а у функции 0/х значением в нуле будут не два числа, а все действительные числа. {1c} "А почему при делении 2 на 0 нельзя сказать, что результата два, но при арифметическом делении будет +Бесконечность?" - потому что при арифметическом делении результата нет. Да, существуют алгебраические системы, в которых множество чисел расширяется бесконечностью, причем есть варианты и с двумя, и с одной бесконечностью. Но это весьма специализированные вещи, и если Вы желаете использовать одну из них, это надо как минимум уточнить в начале статьи. Боюсь, прежде чем вводить новые действия и объявлять их "следующим уровнем", Вам все-таки стоит познакомиться с теорией групп, о чем я упоминал в первом сообщении, а прежде чем объявлять бесконечность "числом" - с разными алгебраическими системами, в которых множество действительных чисел расширяется бесконечностью (но бесконечность от этого числом все равно не становится). {2a} "Для сложения и умножения все подтипы равны, т.е. разные Осн не влияют на результат" - а где там у сложения Осн? "Для коммутативного действия выше уровня умножения Осн влияет на результат" - поэтому Осн является операндом и действие таки не коммутативно. {2b} "Малиновые штаны - это устоявшееся выражение или это Вы придумали только что?" - один позор Вам, что не знаете, другой - что не загуглили. "Великие теоремы тоже порой формулируются на школьном уровне. Это лишь добавляет им величия" - проблема в том, что Вы не сформулировали ни одной теоремы. Вы предложили переделать значения терминов, добавить новые операции, и все ради чего? А просто чтоб было побольше всего. Мало нам иррациональных чисел, нам нужны иррациональные числа минус первого уровня, а то нету же, как так. {2c} "Или всё против Вас" - да нет, просто тут есть, например, автор на сайте, который берет произвольный факт (в последней своей "статье" - факт наличия перспективы на картинах) и делает из этого вывод, что этот факт доказывает, что гравитация распространяется волнами, вращающимися вокруг своей оси. Вот и у Вас наличие трансцендентных чисел как-то вдруг доказывает, что иррациональность чисел надо трактовать не так, как математики ее тысячи лет трактуют, а так, как Вам хочется. {4} Вы уверены, что понимаете слово "критерий" в данном контексте правильно? Декарт, в отличие от Вас, не считал, что "раз просто, значит, правильно", он это только в обратную сторону трактовал. {4b} "А Вы читали в переводе или в оригинале?" - я сопоставлял перевод с оригиналом. "Кстати Ваше «очевидно» можно приравнять к Вашему же «ежупонятность»?" - ок, если не нравится слово "очевидно", то могу сформулировать конкретнее: "согласно принципу бритвы Оккама". А у Вас что из аргументов? Одно "мне хочется, чтоб так было". {4c} "Какое у него основное значение?" - а у слова "лук" какое основное значение? {4d} "Это признак, что у Вас слабая позиция" - нет, это признак, что у Вас слабая аргументация, но сильная уверенность в собственной непогрешимости. {4e} "А отношение в каком смысле он понимал?" - отношение двух чисел - это результат деления одного на другое. "Главное значение слова "рациональный" это логичный, понятный, подчиняющийся логике" - а почему Вы решаете, какое значение главнее? И обратите внимание, это значение в русском языке, а речь шла о происхождении термина. "Но Вы хоть приведите часть текста, на который ссылаетесь. Посмотрим его" - Вам перевод с комментариями или оригинал? И уверены ли Вы, что "Начала" Евклида - это тот текст, на который надо просить ссылку, что этот текст трудно найти самому или можно случайно найти не то? Книги 6 и 10, если что. {4f} "и что такое значение слова «рациональный» также уместно и применимо к рациональным числам" - неприменимо. По крайней мере, в математике или других науках. "Вот у этого термина, если не рассматривать его как термин, есть еще вот такое значение, поэтому применим это значение и к термину" - это не наука, это в лучшем случае фантазия (в худшем - логическая ошибка или вообще демагогия). Тут один автор (не тот, про которого я рассказывал в 2с) из формы нуля и единицы в арабских цифрах сделал вывод, что ноль символизирует женское начало, а единица мужское, и из этого вывел целую систему определения "мужественности" чисел. Но математикой это не было. Так не относятся к математике и Ваши рассуждения про "нелогичность" иррациональных чисел. {5} А у каждого придумывающего свои причины. Например, новые календари обычно придумывали для уравнивания отчетных периодов. Сильно упрощая - чтоб зарплата за разные месяцы была одинаковой и за месяц, и за рабочий день. Ваша идея "надо, чтоб в месяце было столько недель, сколько дней в неделе" явно с этим не связана. А главное отличие Вас от Фишера или Армелина в том, что Фишер не придумывал календарей, а Армелин шахмат. А вот у Вас фантазия в очень-очень разных направлениях идет. Заметьте, в фантазии чаще всего нет ничего дурного, просто наукой она не является. А "почему придумали в основном не в России" - тут вообще элементарно. Возможно, Вы удивитесь, но население России составляет пару процентов населения мира. Большинство идей мира возникает не в России чисто согласно теории вероятности. Теперь жду Вашего ответа про Ваши статьи. Что общего в Вашей мотивации к написанию трех последних статей?


29.04.2023, 0:55 Частухин Александр Евгеньевич
Отзыв: {1} «люди, занимающиеся наукой, знают, что в арифметике результат деления на ноль не определен, то есть выражение "х разделить на 0" в арифметике не имеет значения. Люди, занимающиеся фантазированием, придумывают что-то свое или смешивают арифметику с различными алгебраическими системами.» - Очень и очень хорошо, что Вы хорошо разбираетесь и в арифметике, и в алгебраических системах, и в целом в математике. Это похвально. Но давайте с Вами не забывать об одном. Есть математика, математические истины, сама по себе. А есть наука математика. А наука это деятельность человека. И в ней математические истины оформлены через призму человека. Как Вы не стараетесь, но истинный результат деления 2 на 0 будет бесконечно большое число одновременно со знаком плюс и со знаком минус. Вы можете называть его числом, или не числом, особым элементом, или какой-то абстракцией. Как угодно. Это уже призма человека. Вы можете относить это к арифметике или к алгебраическим системам. Это тоже призма человека. Отнесите это куда угодно. Вы можете в арифметике назвать это неопределенностью и на этом остановиться. А в алгебраических системах сказать, что будет два результата деления: + и – Бесконечность. Пожалуйста. {1a} «замечательно. А теперь узнайте из тех же учебников, что в математике означает "действие, обратное чему-либо"» - Обратное действие может дать не один результат. Я приводил пример (-1)^2=1. Обратное действие Sqrt(1)=1 или Sqrt(1)=-1. Но среди этих вариантов результата должно быть и исходное число. {1b} «Во-вторых, да, существуют и многозначные функции. Но вот беда - у многозначной функции 2/x все равно нет значений в точке 0» - «Нет значений». У функции Sqrt(x) тоже нет значений в точке x=-1. Но нет действительных значений. Если же расширить действительные числа, то значения есть. Также и здесь. Если + и – Бесконечность не входит в действительные числа, то да – нет значений. А если сделать некоторое расширение множества действительных чисел, то и значения найдутся. «а у функции 0/х значением в нуле будут не два числа, а все действительные числа.» - С этим не спорю. {1c} «потому что при арифметическом делении результата нет» - Согласен. Если в арифметике не учитывается бесконечность, то результата нет. А поскольку мне результат нужен, то я использую некоторые алгебраические системы. «Но это весьма специализированные вещи, и если Вы желаете использовать одну из них, это надо как минимум уточнить в начале статьи.» - Может быть и надо. Я не писал и то, что пользуюсь обычной арифметикой, где нет бесконечности. «Боюсь, прежде чем вводить новые действия и объявлять их "следующим уровнем", Вам все-таки стоит познакомиться с теорией групп, о чем я упоминал в первом сообщении» - Конечно это не мешало бы. Я же не против. «а прежде чем объявлять бесконечность "числом"…» - Ну я числом по-моему не называл. Даже если написать «бесконечно большое число», именно числом оно не станет. Я в самом начале написал, что мне не столь важно, куда формально ее относят. Но и с разными алгебраическими системами согласен, что стоит поглубже познакомиться. Спасибо за рекомендации.


29.04.2023, 0:57 Частухин Александр Евгеньевич
Отзыв: {2a} «а где там у сложения Осн?» - Нету. Но на -1 уровне Осн есть. При переходе от -1 к 0-му уровню формула преобразуется так, что Осн нет в формуле. Но по логике статьи деление действий на Осн остается. Но для сложения от Осн ничего не зависит, что собственно и равно тому, что его нет в формуле. «поэтому Осн является операндом и действие таки не коммутативно» - Это мы уже обсуждали. Важна коммутативность именно двух чисел a и b в формуле. {2b} «проблема в том, что Вы не сформулировали ни одной теоремы.» - Ну теорему Ферма, которая формулируется на школьном уровне, тоже по-правильному теоремой назвать нельзя было. Ферма ее не доказал. Если не считать доказательством слова «Я нашёл этому поистине чудесное доказательство, но поля книги слишком узки для него». Значит это должна быть гипотеза Ферма. Ну и впоследствии теоремой Уайлса. «Вы предложили переделать значения терминов, добавить новые операции, и все ради чего? А просто чтоб было побольше всего.» - Чтобы действия объединить в некоторую общую схему. При этом на каждом уровне будут и простые числа, и иррациональные числа. А теоремы тоже могут впоследствии появиться. «Мало нам иррациональных чисел, нам нужны иррациональные числа минус первого уровня, а то нету же, как так» - На -1 уровне они будут мнимыми. А по этой теме исследований может быть еще много. Первое что в голову приходит изучить меру иррациональности чисел по мере роста уровня. {4c} «а у слова "лук" какое основное значение?» - У лука два значения, которые никак между собой не связаны, это омонимы. И эти два значения вполне конкретны. Их можно и потрогать руками. У «логоса» немного не так. Это абстрактное понятие. Потрогать руками нельзя. Каждый философ мог иначе трактовать данное слово. Поэтому и значений у него много. Можно постараться объединить эти значения и понимать его как «разумная первопричина». Вы руками это не потрогаете. Поэтому с луком сравнивать не надо. Математики же, которые в античное время могли быть и философами, могли брать это философское понятие и применять также в своей области, придавая данному слову еще новые значения. {4e} «а почему Вы решаете, какое значение главнее? И обратите внимание, это значение в русском языке, а речь шла о происхождении термина.» - Думаю по вопросу происхождения термина мне добавить нечего. Я писал, что не спорю о том, что изначально термин мог произойти от слова «отношение». И в итоге появилось два значения слова рациональный. 1) в смысле логичный и 2) если число, то выраженное через отношение целых чисел. Но 2-е значение это значение только в математике. А 1-е значение это общее значение, которое может применяться и в обиходе и где угодно. Разве только к числу Вы боитесь его применять, поскольку оно входит в «конфликт» со 2-ым значением. Поэтому первое и главнее. Я Вас услышал, что термин «рациональное число» произошел изначально от слова «отношение». Но услышьте и Вы меня, что общее слово «рациональный» в смысле логичный, может быть также применено к рациональным числам. Вы представьте себе гипотетическую ситуацию. Утеряны все первоисточники, никакого трактата «Начала» Евклида и в помине нет. Никаких нет данных о старых трудах. Никакого латинского языка нет. Но современные языки остались. И вот есть определение «рациональное число». И вот мальчик спрашивает учителя математики: «Скажите, а почему рациональное число назвали именно рациональным?» И учитель ответит: «Никаких древних данных нет. Но если исходить из современного значения этого слова, то видимо так назвали, потому что данные числа при записи их подчиняются той или иной логике, т.е. они логичны, а иррациональные при записи никакой логике не подчиняются. Поэтому наверное назвали так». Хотя точное математическое определение останется, что их нельзя выразить через обыкновенную дробь. Я лишь об этом пишу. Точно так же и термин «простое число». Здесь используется обиходное слово «простое», понятное каждому. Но в применении к математике, это уже число, которое не раскладывается на множители, т.е. делится на 1 и на себя. Мне нечего добавить. Я не спорю на тему, как изначально появилось слово «рациональное» число. Да, возможно Вы правы, что от слова «отношение».


29.04.2023, 1:02 Частухин Александр Евгеньевич
Отзыв: {5} «А у каждого придумывающего свои причины.» - Ну вот зачем кто-то придумал разновидность шахмат «Королева амазонки», где ферзь ходит не только как ферзь, но и как конь? И об этих разновидностях шахмат пишут в Интернете зачем-то. «Например, новые календари обычно придумывали для уравнивания отчетных периодов. Сильно упрощая - чтоб зарплата за разные месяцы была одинаковой и за месяц, и за рабочий день.» - Если была бы только эта причина, то достаточно было бы вернуть февралю 30 дней в месяце, отменив добавление дней к июлю и августу в честь двух древнеримский «богов» (правителей). Месяц был бы или 30 или 31 день. В итоге кварталы были бы почти равны, с отличием максимум в один день. Главная причина попыток перехода на новый календарь все-таки лежит в том, что календарь несовершенен в плане сдвигов. Каждый год начинается с нового дня недели. Представьте каждый год миллионы и миллиарды бумаги тратятся на печать нового календаря на наступающий год. Каждый помнит свой день рождения. Но наверно мало кто знает, какой день недели это был. Потому что каждый год все меняется в плане дней недели. Плюс и некратность месяца неделе – тоже минус. «Ваша идея "надо, чтоб в месяце было столько недель, сколько дней в неделе" явно с этим не связана.» - Не связана. Представим стоит задача разработать наиболее удобный и простой универсальный календарь без привязки к существующим календарям. Естественно будут требования. Календарь должен быть универсальным, чтобы не было каждый год сдвигов по дням недели. Также в идеале недолжно быть и сдвигов дней недели по месяцам. Да еще желательно чтобы у данного календаря была симметрия. Да еще желательно чтобы год в нем начинался не с дня 1 января, который не несет в себе астрономического смысла, а с 21 декабря. И при этом была бы достаточно простая согласованность месяцев с сезонами. Также и желательна привязка к фазам Луны (но это практически не реально). И еще нужно наиболее простым способом сделать добавку одного дня, если будет високосный год. Чтобы при такой добавке не было сдвигов. В итоге количество календарей, отвечающих данным требованиям, будет очень не велико. По сути останется только один вариант – семеричный календарь. Календарь же из 12 месяцев отпадет даже по причине, что если его начать с 21 декабря, то не будет согласованности месяцев с сезонами года. В нем трудно будет добиться симметрии. И чтобы месяц состоял из определенного количества недель. Только семеричный календарь «777» будет удовлетворять почти всем требованиям и он наиболее прост. Он будет в голове. Его вообще не надо покупать каждый раз и вешать календарь на стену. «А главное отличие Вас от Фишера или Армелина в том, что Фишер не придумывал календарей, а Армелин шахмат.» - А как быть с календарем философа Конта? «А вот у Вас фантазия в очень-очень разных направлениях идет.» - Как видите не только у меня. Да и по переписке с Вами можно сделать вывод, что не только в математике Вы шарите. «Возможно, Вы удивитесь, но население России составляет пару процентов населения мира. Большинство идей мира возникает не в России чисто согласно теории вероятности.» - Тогда большинство идей мира должно возникать в Китае и Индии, и еще в США, Индонезии, Пакистане, Бразилии, Нигерии, Бангладеше. Из названых стран наверное в США действительно идеи возникают частенько. Расскажу историю, которую слышал. В США и России было что-то вроде соревнования, надо предложить некоторый метод анализа чего-то в одной из научных дисциплин и озвучить стоимость. В России разработали и назвали стоимость порядка 70 долларов. И в США разработали и назвали стоимость 5000 долларов. При этом как потом выяснилось, в России разработка оказалась на порядок лучше. Почему так вышло? Полагаю дело в менталитете. У нас часто мыслят как раз такими категориями: «Зачем это делать, все равно это никому не нужно, или это никто не примет. Ну раз я что-то все равно сделал, а я обычный простой человек, ну дайте хоть 70 долларов за это». А в США будут думать наоборот: «Я что-то сделал. А поскольку я крутой, то и то, что я сделал тоже круто, и это по-любому всем нужно. Ну а раз круто, то извольте заплатить за качество 5000 долларов». «Теперь жду Вашего ответа про Ваши статьи. Что общего в Вашей мотивации к написанию трех последних статей?» - Наверное, чтобы поделиться этим с миром, как Вы выразились. Что касается их ценности. Ценность ценности рознь. Понятно, что можно прожить и без этого. Проблем хватает насущных. Но давайте на минутку представим. Через много лет наступила новая эпоха, в которой все отлично, нет войн, и все человечество едино и не делится на государства. И решили, чтобы все было по-новому, в том числе это касается и календаря. Не будут же в новую блистательную эпоху люди жить по календарю древнеримских «богов», которые занимались завоеваниями других территорий, а завоеванных людей продавали в рабство. Какой календарь выбрать? Тогда я считаю семеричный календарь был бы очень даже кстати. Он очень даже не плохо смотрится на фоне других календарей. Это мое мнение. Что касается шахмат. Я выше уже писал. Зачем придумали шахматы «Королева Амазонки»? В чем их логика? Я же в статье про шахматы привел логику дальнобойных и прыгающих фигур. И фигура «королевский конь» выглядит уместной согласно такой логике. По силе она равна ферзю. И игра была бы интересной. Во всяком случае, она ничем не хуже тех вариантов шахмат, которые придуманы и распиарены на Западе и приведены в Википедии. Т.е. да, цель просто поделиться с миром. «Вы рассчитываете, что "прыгающие шахматы" и "семеричный календарь" будут внедрены?» - Вероятность, что их примут очень мала. Но она больше нуля. Примут или не примут это не моя задача. Мне интересно было разработать. Русской православной церкви по идее давно пора принять какой-то новый календарь. При этом если он будет на базе юлианского, типа новоюлианского календаря, то это значит, что РПЦ продолжает заимствовать что-то с Запада, а значит и зависит от него в какой-то мере. Она не перешла на григорианский календарь, чтобы не заимствовать календарь от папы римского. Ну а заимствовать западный юлианский календарь разве не похожая картина? Понятно, что тогда брали все из Византии. Но сейчас и с константинопольским патриархатом уже нет дружбы. Пожалуйста, РПЦ тоже может перейти на семеричный календарь. Если Вы спросите меня о вероятности этого. То я отвечу, что она очень мала. «Вы просто жаждете признания хотя бы на уровне рецензий?» - Конечно нет. Хотя мнение других людей конечно интересно. «Вам нужны публикации "о чем получится"?» - Нет. Если у меня есть какая-то идея, и я вижу что она интересная, или даже возможно кому-то может пригодиться, то почему бы и нет.


29.04.2023, 8:32 Цорин Борис Иосифович
Отзыв: {1} "Как Вы не стараетесь, но истинный результат деления 2 на 0 будет бесконечно большое число одновременно со знаком плюс и со знаком минус" - Вы решили, что владеете истиной там, где математики видят только введение абстракции? {2} "Ну теорему Ферма, которая формулируется на школьном уровне, тоже по-правильному теоремой назвать нельзя было. Ферма ее не доказал" - гипотез я тоже в этой статье не заметил. {2a} "Чтобы действия объединить в некоторую общую схему. При этом на каждом уровне будут и простые числа, и иррациональные числа. А теоремы тоже могут впоследствии появиться" - вот когда Вы по этим уровням расставите все основные свойства операций и теоремы, модифицировав их для каждого уровня, тогда Вы и объедините в схему. А пока Вы обходитесь единичными утверждениями, это не общая схема, а ее имитация по одному случайно выбранному признаку. Ну вот хотя бы почему Вы выбрали коммутативность, а не ассоциативность? {4} "Математики же, которые в античное время могли быть и философами, могли брать это философское понятие и применять также в своей области, придавая данному слову еще новые значения" - ну я Вас огорчу, Евклид и Зенон Китийский жили в одно и то же время, так что установить приоритет значений вряд ли получится. {4a} "Но услышьте и Вы меня, что общее слово «рациональный» в смысле логичный, может быть также применено к рациональным числам" - вот это или грубая логическая ошибка, или фантазия, не относящаяся к науке. "И учитель ответит..." - вы действительно считаете, что то, что кто-то еще может ошибиться так же, как Вы, оправдывает Вашу ошибку? {5}"Ну вот зачем кто-то придумал разновидность шахмат «Королева амазонки», где ферзь ходит не только как ферзь, но и как конь?" - для разнообразия. Об этом пишут в интернете, но научными статьями это не считают. Но в целом Вы меня успокоили, Ваша мотивация не выходит за рамки окружающей Вас нормы. Осталось Вам научиться отличать научные тексты от ненаучных и правильно подбирать сайты для тех Ваших идей, которые не относятся к науке, и из всей моей критики останется только Ваше странное отношение к математической терминологии в статьях, которые Вы считаете математическими (это я сейчас и про Вашу трактовку понятия "рациональное число", и про называние бесконечности числом, и про введение термина "начало" для того, для чего давно есть термин "нейтральное число", и про много чего еще)


30.04.2023, 16:21 Цорин Борис Иосифович
Отзыв: Ну и, кстати, что-то даже сразу не заметил... Вы, собственно говоря, с каким множеством работаете? А то сначала у Вас "а = минус бесконечность", потом Вы берете логарифм а, потом оказывается, что основание всегда целое и Вы рассуждаете о "простых числах относительно операции"...


1.05.2023, 0:41 Частухин Александр Евгеньевич
Отзыв: Возможно не на все вопросы отвечу. Многое мы уже ранее обсуждали. Но если упустил из виду важный вопрос, то готов ответить потом. {2a} «Ну вот хотя бы почему Вы выбрали коммутативность, а не ассоциативность?» - В статье есть фраза «Все вышеописанные математические действия (любой уровень) обладают свойствами коммутативности, ассоциативности и дистрибутивности». Т.е. все действия в данной схеме должны обладать данными тремя свойствами. {5} «про называние бесконечности числом» - Вроде не называл. Если писал «бесконечно большое число», то условно. «про введение термина "начало" для того, для чего давно есть термин "нейтральное число"» - В статье есть текст «начальное число (или просто начало, нейтральный или нулевой элемент)». Я называю «начало», потому что от этого элемента ведется «отсчет» на том или ином уровне.


1.05.2023, 0:43 Частухин Александр Евгеньевич
Отзыв: «Вы, собственно говоря, с каким множеством работаете?» - Про Осн в статье есть текст «В качестве числа «Осн» во всех выражениях мы будем использовать натуральные числа больше 1». А числа, участвующие в действиях (a и b), это действительные числа, дополненные + и – бесконечностью, любое из них может участвовать в том или ином действии. Но из всех чисел такого множества, на каждом уровне интересны простые числа, которые являются целыми. Также рассмотрены иррациональные числа на каждом уровне.


1.05.2023, 11:42 Цорин Борис Иосифович
Отзыв: {2a} Признаю, упустил, этот вопрос снят. {5} Ознакомьтесь со статьей Википедии "алгебраическое число". Возможно, хотя бы она сподвигнет Вас отказаться от последней части Вашей статьи. {6} "А числа, участвующие в действиях (a и b), это действительные числа, дополненные + и – бесконечностью, любое из них может участвовать в том или ином действии" - тогда не могли бы Вы мне сказать, чему будет равно это Ваше "-2 действие выше умножения -8" при основании 4? А то, признаться, я так и не научился вычислять логарифмы отрицательных чисел, оставаясь при этом на множестве действительных чисел... Да и при определении умножения через логарифм суммы та же проблема проглядывает. {6a} А почему же в качестве Осн только натуральные числа, чем плохо число 5.2 в качестве основания логарифма?


2.05.2023, 0:39 Частухин Александр Евгеньевич
Отзыв: {5} «Ознакомьтесь со статьей Википедии "алгебраическое число". Возможно, хотя бы она сподвигнет Вас отказаться от последней части Вашей статьи.» - Что конкретно противоречит данной статье? {6} «тогда не могли бы Вы мне сказать, чему будет равно это Ваше "-2 действие выше умножения -8" при основании 4?» - Будет мнимое число. Я не писал, что любое из чисел обозначенного множества с другим любым числом при действии на любом уровне даст обязательно число из этого множества. «Да и при определении умножения через логарифм суммы та же проблема проглядывает.» - Здесь не понял суть проблемы. {6a} «А почему же в качестве Осн только натуральные числа, чем плохо число 5.2 в качестве основания логарифма?» - Конечно основание может быть любым, и дробным тоже. Но по логике статьи дробные основания не рассматривались, потому что на каждом уровне из оснований получаются простые числа, которые должны быть целыми. А приведенное Вами число дробное. Такие основания не рассматривались в статье, хотя они и возможны конечно. Это примерно та же ситуация. Вы изучаете простые и составные числа, т.е. делимость чисел. А Вас спросят, почему Вы при изучении делимости не используете число 5.2? Здесь по определению должны быть только целые числа. Хотя конечно 5.2 можно разделить, и на него можно разделить.


2.05.2023, 6:59 Цорин Борис Иосифович
Отзыв: {5} "Что конкретно противоречит данной статье?" - не "противоречит". В указанной статье Википедии Вы можете увидеть, что действительные числа и так были разбиты на уровни (точнее, степени алгебраичности), где первый уровень - рациональные числа, а условно последний уровень (точнее, не вошли в бесконечное количество уровней) - трансцендентные числа. Все почти как Вам хотелось, только без заявлений вида "рациональные числа - это первый уровень иррациональности чисел, потому что мне трудно их понять", строго на основе математических формулировок. {6} Если "будет мнимое число" (на самом деле комплексное, а не мнимое), то почему определено на множестве действительных чисел, а не комплексных? "Здесь не понял суть проблемы" - Вы действуете на множестве действительных чисел. Вы утверждаете, что a*b=osn^(log(a)+log(b)), поэтому по Вашей схеме умножение - следующий уровень после сложения. Но на множестве действительных чисел это утверждение верно только при положительных а и b, потому что на множестве действительных чисел логарифмы отрицательных чисел и нуля не определены. Таким образом, Вам надо или сразу действовать на множестве комплексных чисел, или ограничиваться исключительно множеством положительных действительных чисел, убирая все "минус бесконечности". {6a} "Но по логике статьи дробные основания не рассматривались, потому что на каждом уровне из оснований получаются простые числа, которые должны быть целыми" - Вы понимаете, что это называется "подгонять теорию под желаемый результат"? ) "Вы изучаете простые и составные числа, т.е. делимость чисел. А Вас спросят, почему Вы при изучении делимости не используете число 5.2" - при изучении простых и составных чисел сразу работают на множестве натуральных чисел. А Вы определяете операцию на множестве действительных чисел, но при этом ограничиваете основание натуральными числами только ради того, чтобы притянуть за уши термин "простое число". Это, пожалуй, еще более ненаучно, чем Ваше "иррациональные - это которые я понять не могу".


2.05.2023, 23:18 Частухин Александр Евгеньевич
Отзыв: {5} «В указанной статье Википедии Вы можете увидеть, что действительные числа и так были разбиты на уровни» - Там несколько иная логика деления. Или я не прав? {6} «на самом деле комплексное, а не мнимое» - Если у комплексных чисел отсутствует действительная часть, то данное комплексное число является мнимым. В Вашем примере предполагаю будет отсутствовать действительная часть. «то почему определено на множестве действительных чисел, а не комплексных» - Можно определить и на множестве комплексных чисел. В данной статье комплексные числа не рассматривались. «Но на множестве действительных чисел это утверждение верно только при положительных а и b, потому что на множестве действительных чисел логарифмы отрицательных чисел и нуля не определены.» - Не определены. Если так будет корректнее, то все действия в статье определены для множества комплексных чисел включая бесконечности. Но в самой статье в качестве a и b рассматривались только действительные числа и бесконечности и в качестве результата действий рассматривались только действительные числа и бесконечности. {6a} «Вы понимаете, что это называется "подгонять теорию под желаемый результат"?» - Если всегда так подгонялось хорошо. «при изучении простых и составных чисел сразу работают на множестве натуральных чисел. А Вы определяете операцию на множестве действительных чисел, но при этом ограничиваете основание натуральными числами только ради того, чтобы притянуть за уши термин "простое число".» - Возьмем действие сложение. На этом уровне начало=0, и простое число=1. Они не зависят от Осн. Будет ли он дробным или целым. Далее составные числа на этом уровне получаются так: 1+1=2, 1+1+1=3 и т.д. В сумме мы будем иметь неотрицательные целые числа: 0-начало, 1-простое число, и далее-составные числа. Этот же ряд чисел должен по логике статьи получится и на следующем уровне – умножения. Там будет 0-обнуляющее число, 1-начало, 2,3,5,7…- простые числа, остальные - составные числа. Т.е. те же числа, что и на уровне сложения. Но на уровне умножения кандидаты в простые числа получаются в зависимости от Осн. И результат должен быть только целое число. Таким образом, рассматривать дробные Осн нет смысла. Мы можете назвать это подгоном. Назовите. Я с Вами не соглашусь. «сразу работают на множестве натуральных чисел» - Это тоже можно назвать подгоном. Действие умножение/деление определено минимум до множества комплексных чисел, а с чего мы изучаем простые числа, выбрав из всех комплексных чисел только натуральные числа. 5.2 ничем не хуже. Оно тоже вполне может участвовать в действии умножения и деления.


8.05.2023, 17:04 Цорин Борис Иосифович
Отзыв: {5} "Там несколько иная логика деления" - угу, и в отличие от Вашей, она содержит четкий критерий, а не просто примеры. {6} "В Вашем примере предполагаю будет отсутствовать действительная часть" - не предполагайте. Проверьте. "Если так будет корректнее, то все действия в статье определены для множества комплексных чисел включая бесконечности" - так-так, а в используемой Вами алгебраической системе, расширяющей комплексные числа бесконечностями, по-прежнему только две бесконечности, и обе не имеют мнимой части? {6a} "Если всегда так подгонялось хорошо" - что ж в этом хорошего? "Но на уровне умножения кандидаты в простые числа получаются в зависимости от Осн. И результат должен быть только целое число. Таким образом, рассматривать дробные Осн нет смысла. Мы можете назвать это подгоном. Назовите. Я с Вами не соглашусь" - результатом операции по удалению рака всегда должен получаться человек, не болеющий раком. Таким образом, нет смысла проводить эту операцию людям болеющим раком, во избежание неправильного результата. "Действие умножение/деление определено минимум до множества комплексных чисел, а с чего мы изучаем простые числа, выбрав из всех комплексных чисел только натуральные числа" - упрощенно говоря, "взять объект и изучить его свойства" - это наука, а "взять свойства и придумать объект, под них подходящий" - уже вряд ли. Если мы берем натуральные числа, выделяем из них некоторые подходящие под определенные критерии, называем их простыми, обнаруживаем, что для них выполняется много различных теорем, - это математика. Если мы берем определение простых чисел, изменяем его произвольным образом, создаем новую операцию, подгоняем друг под друга новое определение и новую операцию, а на то, что практически все теоремы при этом перестают работать, машем рукой, - это не математика, это сочинительство.


11.05.2023, 15:06 Частухин Александр Евгеньевич
Отзыв: {5} «угу» - Вы писали: «Все почти как Вам хотелось». А теперь выясняется, что там другая логика. Значит не так как мне хотелось. «и в отличие от Вашей, она содержит четкий критерий, а не просто примеры.» - Из приведенных примеров есть то, что Вам непонятно? {6} «не предполагайте. Проверьте.» - Ваш пример не тривиален. Может быть, получится и комплексное число в результате. Проверить сложно. {6} «так-так, а в используемой Вами алгебраической системе, расширяющей комплексные числа бесконечностями, по-прежнему только две бесконечности, и обе не имеют мнимой части?» - Здесь бесконечно удаленных элементов будет бесконечно много. Но я писал выше: «Но в самой статье в качестве a и b рассматривались только действительные числа и бесконечности и в качестве результата действий рассматривались только действительные числа и бесконечности». Хотя само действие определено для комплексных чисел. {6a} «что ж в этом хорошего?» - Если так хорошо подгоняется, может это и не подгон вовсе? «Если мы берем определение простых чисел, изменяем его произвольным образом» - Т.е. все Ваше замечание сводится к терминологии? Если я назову не «простые числа такого-то уровня», а «неразлагаемые числа такого-то уровня» и при этом неразлагаемые числа уровня 1 будут соответствовать простым числам – это Вас устроит? «создаем новую операцию, подгоняем друг под друга новое определение и новую операцию, а на то, что практически все теоремы при этом перестают работать, машем рукой, - это не математика, это сочинительство» - Как Вы все усложняете. Если говорят «корень из 4». По умолчанию понимается квадратный корень. С учетом расширения понятия «простое число», если будут говорить «простое число», то под этим будет пониматься простое число уровня 1, т.е. 2, 3, 5, 7…. Какие теоремы перестанут работать? «упрощенно говоря, "взять объект и изучить его свойства" - это наука» - Я так и делаю. К вопросу терминологии. Допустим, я назвал в статье не простые, а неразлагаемые числа, и не рациональные, а понимаемые числа, то все Ваши вопросы разрешатся, или не все?


11.05.2023, 21:55 Цорин Борис Иосифович
Отзыв: {5} "Из приведенных примеров есть то, что Вам непонятно?" - каким "уровнем иррациональности" Вы считаете число sqrt(sqrt(2)+sqrt(3))? А sqrt(10/9)? А число Пи? {6} "Ваш пример не тривиален. Может быть, получится и комплексное число в результате. Проверить сложно." - мой пример тривиален, проверить легко, действительная часть будет. Но вот беда: на множестве комплексных чисел у логарифма, как и у корня, значений много, в том числе у логарифма действительного положительного числа. Получается, что Ваша "операция уровня выше сложения", если рассматривать множество комплексных чисел, будет иметь бесконечно много результатов даже при фиксированном основании. И умножение, раз Вы его решили переопределить через сумму логарифмов, тоже внезапно получит бесконечно много результатов. {6a} "Если я назову не «простые числа такого-то уровня», а «неразлагаемые числа такого-то уровня» и при этом неразлагаемые числа уровня 1 будут соответствовать простым числам – это Вас устроит?" - если Вы вместо переопределения терминологии будете вводить свою собственную, статья хотя бы перестанет быть антинаучной. Но научной, боюсь, все-таки не станет. "Допустим, я назвал в статье не простые, а неразлагаемые числа, и не рациональные, а понимаемые числа, то все Ваши вопросы разрешатся, или не все?" - снимется самый важный вопрос некорректного использования терминологии, но останутся вопрос некорректных скачков между множествами и вопрос бесплодного сочинительства, см. "фыбага".


12.05.2023, 12:13 Частухин Александр Евгеньевич
Отзыв: {5} В статье я привел примеры чисел, которые могут быть понятны на том или ином уровне, введя понятие уровень иррациональности. Возможно будут иррациональные числа, которые не будут относиться ни к какому уровню, т.е. их уровень иррациональности будет бесконечным. Также возможно будет существование и дробных уровней иррациональности. «каким "уровнем иррациональности" Вы считаете число sqrt(sqrt(2)+sqrt(3))? А sqrt(10/9)?» - Возможно нецелочисленный. «А число Пи?» - Возможно бесконечный. {6} «мой пример тривиален, проверить легко» - А не ошиблись ли Вы? Интересно посмотреть на Ваш расчет, который Вы назвали тривиальным и легко проверяемым. «действительная часть будет» - Может быть. «Но вот беда: на множестве комплексных чисел у логарифма, как и у корня, значений много, в том числе у логарифма действительного положительного числа.» - Но среди всех значений действительных будет столько же, как если бы мы изначально работали только с действительными числами. «Получается, что Ваша "операция уровня выше сложения", если рассматривать множество комплексных чисел, будет иметь бесконечно много результатов даже при фиксированном основании.» - Бесконечно или конечно? «И умножение, раз Вы его решили переопределить через сумму логарифмов, тоже внезапно получит бесконечно много результатов.» - Т.е. Вы утверждаете, что выражение: Осн^(log (a) по основанию Осн) будет иметь бесконечно много значений на множестве комплексных чисел? {6a} «если Вы вместо переопределения терминологии будете вводить свою собственную, статья хотя бы перестанет быть антинаучной. Но научной, боюсь, все-таки не станет.» - Естественно не будет. Это будет больше литературное произведение. «снимется самый важный вопрос некорректного использования терминологии, но останутся вопрос некорректных скачков между множествами» - «Некорректные» скачки надеюсь мы с Вами разберем. «и вопрос бесплодного сочинительства, см. "фыбага"» - В данной статье вводятся обобщающие понятия. Это естественно «бесполезно». Но я так и не понял, в каких научных разделах будет опубликована статья, определяющая термин "фыбага". Поподробнее расскажите пожалуйста.


12.05.2023, 16:36 Цорин Борис Иосифович
Отзыв: {5} "В статье я привел примеры чисел, которые могут быть понятны на том или ином уровне" - то есть Вы все-таки не продумали никакую логику деления, а только назначили конкретные примеры на конкретный уровень. С учетом этого Вы все еще не хотите полностью отказаться от своего деления иррациональных чисел на уровни? "А не ошиблись ли Вы? Интересно посмотреть на Ваш расчет, который Вы назвали тривиальным и легко проверяемым" - ок, вспоминаем пример. Я Вашу "операцию выше умножения" в дальнейшем буду называть "хы" для краткости, в комментарии-то картинки не вставить. Итак, пример: -2 хы -8 по основанию 4. -2 хы -8 по основанию 4 мнимое тогда и только тогда, когда log -2 * log -8 = log ai, где a - вещественное ненулевое число, а все логарифмы взяты по основанию 4. Вычисляем: логарифм -2 по основанию 4 равен 0.5 +i*pi*(2k+1)/ln 4, где k пробегает множество целых чисел. Логарифм -8 по основанию 4 равен 1.5 +i*pi*(2n+1)/ln 4, где n пробегает множество целых чисел. Перемножаем. Получаем 0.75-(pi/ln4)^2*(2k+1)*(2n+1)+i*pi*(n+3k+2)/ln4. Логарифм ai по основанию 4 равен (ln a + i * (pi/2 + pi*m))/ln 4, где m пробегает либо множество четных, либо множество нечетных целых чисел, в зависимости от знака числа а. Приравниваем мнимые части: i*pi*(n+3k+2)/ln4 = i * (pi/2 + pi*m)/ln 4, домножаем на ln 4 и делим на i*pi, остается n+3k+2=1/2+m. Слева целое число, справа нецелое. Противоречие. Вывод: -2 хы 8 по основанию 4 не имеет среди своих значений чисто мнимых. {6} "Бесконечно или конечно?" - бесконечно. Извлечение корня имеет конечное количество комплексных значений, логарифм бесконечное. "Т.е. Вы утверждаете, что выражение: Осн^(log (a) по основанию Осн) будет иметь бесконечно много значений на множестве комплексных чисел?" - да, тут я поторопился и не проверил. Действительно, логарифмы и их сумма будут иметь бесконечно много значений, но после возведения в степень значение снова останется одно, здесь я ошибся в прошлом комментарии, приношу извинения. Но всё же вычислять заведомо действительное значение через комплексные числа - весьма и весьма странно. {6a} "Это будет больше литературное произведение" - ну так зачем же Вы литературное произведение на научном сайте пытаетесь опубликовать? "В данной статье вводятся обобщающие понятия" - обобщающие они примерно на том же уровне, на каком в статье по филологии можно обобщить слова "статья" и "прыгать" по признаку "оба состоят из семи букв". Такая игра для ума - "найдите, что общего между слоном и лампочкой на потолке". Весело и порой интересно, но не наука. "Но я так и не понял, в каких научных разделах будет опубликована статья, определяющая термин "фыбага"." - надеюсь, ни в каких, потому что я таким не занимаюсь.


14.05.2023, 0:22 Частухин Александр Евгеньевич
Отзыв: {5} «то есть Вы все-таки не продумали никакую логику деления, а только назначили конкретные примеры на конкретный уровень.» - В конкретных примерах на конкретный уровень уже видна логика. В статье не приводится только универсального критерия, подходящего для всех чисел. «С учетом этого Вы все еще не хотите полностью отказаться от своего деления иррациональных чисел на уровни?» - А почему должен отказаться то? «Противоречие. Вывод: -2 хы 8 по основанию 4 не имеет среди своих значений чисто мнимых.» - Значит будет всегда комплексное число. Согласен. {6} «Но всё же вычислять заведомо действительное значение через комплексные числа - весьма и весьма странно.» - Я так не предлагал вычислять. Например, из формулы для умножения при преобразовании логарифмы уходят, и остается a*b. {6a} «ну так зачем же Вы литературное произведение на научном сайте пытаетесь опубликовать?» - Я писал про «литературное произведение» только для того, чтобы показать, что Ваше заявление «Но научной, боюсь, все-таки не станет» очевидно является неверным. «обобщающие они примерно на том же уровне, на каком в статье по филологии можно обобщить слова "статья" и "прыгать" по признаку "оба состоят из семи букв". Такая игра для ума - "найдите, что общего между слоном и лампочкой на потолке". Весело и порой интересно, но не наука.» - Вот это сравнение. Ваш пример из филологии, если сравнивать с математикой, это примерно «давайте обобщим действие сложение и число пи». Ничего подобного в статье нет. «надеюсь, ни в каких, потому что я таким не занимаюсь.» - Ваш пример со словом "фыбага" из той же области, что и пример по филологии.


15.05.2023, 18:33 Цорин Борис Иосифович
Отзыв: {5} "В статье не приводится только универсального критерия, подходящего для всех чисел" - а это значит, что и не приводится никакого деления на уровни, а есть только присваивание ярлыков конкретным числам. {6} "Я так не предлагал вычислять. Например, из формулы для умножения при преобразовании логарифмы уходят, и остается a*b" - ок, я не вполне верный глагол подобрал. Не вычислять. Определять. {6a} "Ничего подобного в статье нет" - подобного нет, не менее бесполезное и бессмысленное есть. Вы "обобщаете" существующее с нововводимым и вводите это новое исключительно ради "обобщения". Критерии "обобщения" зачастую не прописаны, а обобщение проводится на примерах. "Обобщение" изобилует искусственно введенными ограничениями, которые не несут никакого смысла, кроме "сделать обобщение красивым". "Обобщение" ограничивается небольшим перечнем свойств, из "обобщения" не делаются (да и не могут быть сделаны) никакие выводы. Сама идея операции "хы" не лишена некой элегантности, и если бы Вы вместо попыток ввести для нее "простые числа" и прочей ереси вида "давайте смешаем комплексные операции с арифметикой натуральных чисел" попробовали проанализовать ее с точки зрения алгебры, да вывести какие-то закономерности при дальнейшем следовании по этой цепочке, возможно, могло бы получиться что-то интересное. А так 40% статьи антинаучны, а 50% бессмысленны.


16.05.2023, 18:29 Частухин Александр Евгеньевич
Отзыв: {5} «а это значит, что и не приводится никакого деления на уровни, а есть только присваивание ярлыков конкретным числам.» - Замечательно. Каждый уровень действия определен. При этом каждое натуральное число, включая 0 (это числа, которые не являются иррациональными, т.е. непонимаемыми, числами того или иного уровня), может быть или обнуляющим числом, или началом, или простым числом или составным числом. Для каждого действия есть обратное действие. И при обратном действии могут появляться числа за пределами натурального ряда. Для сложения это -1, -2, -3…, для умножения 1/2, 1/3, 1/4… Это иррациональные числа того или иного уровня. Из того факта, что существуют действительные числа, которые не относятся ни к натуральным, ни к обратным числам того или иного уровня, не следует, что все это только ярлыки отдельным числам. {6} «ок, я не вполне верный глагол подобрал. Не вычислять. Определять.» - И не определять. Подумайте, как можно определить умножение, используя возведение в степень? А что такое тогда возведение в степень? {6a} Почти все, что Вы написали в данном пункте больше напоминает лирику, недоказанную. «подобного нет, не менее бесполезное и бессмысленное есть.» - Обоснуйте, почему это бесполезное и бессмысленное. «Вы "обобщаете" существующее с нововводимым и вводите это новое исключительно ради "обобщения".» - С чего Вы взяли? «Критерии "обобщения" зачастую не прописаны, а обобщение проводится на примерах.» - Для простых чисел прописаны. Для иррациональных прописаны, если они принадлежат множеству обратных чисел того или иного уровня. Цель прописать критерий определения иррациональности для всех действительных чисел не ставилась именно в данной статье. «"Обобщение" изобилует искусственно введенными ограничениями, которые не несут никакого смысла, кроме "сделать обобщение красивым".» - Почему искусственно выделенными? Почему не несут смысла? «"Обобщение" ограничивается небольшим перечнем свойств, из "обобщения" не делаются (да и не могут быть сделаны) никакие выводы.» - Почему не могут быть сделаны никакие выводы? Докажите. Т.е. достаточно сделать один вывод, чтобы опровергнуть все, что Вы написали в пункте {6a}? «ввести для нее "простые числа" и прочей ереси» - Все нормально. Это не ересь. Простые, т.е. неделимые, числа того или иного уровня вполне понятно что означают. «попробовали проанализовать ее с точки зрения алгебры, да вывести какие-то закономерности при дальнейшем следовании по этой цепочке, возможно, могло бы получиться что-то интересное» - А еще интереснее если свойства действия уровня 2 будут сопоставлены со свойствами действий уровня 1 и 0, чтобы видеть общую закономерность. Про коммутативность, дистрибутивность и ассоциативность этих действий я уже писал. «А так 40% статьи антинаучны, а 50% бессмысленны.» - Замечательно. Ладно хоть 10% Вы оставили возможно для чего-то хорошего и то спасибо Вам.


17.05.2023, 8:01 Цорин Борис Иосифович
Отзыв: {5} Вы внезапно сбились на другую тему. Перечитайте последние сообщения обеих сторон в подтеме №5. {6} Тем не менее, в статье это выглядит именно как переопределение умножения через логарифмы и возведение в степень. {6a} "Обоснуйте, почему это бесполезное и бессмысленное" - обосновал в том же сообщении. "С чего Вы взяли?" - с того, что никакого применения нововводимого, кроме самого "обобщения", в статье не предложено. "Для иррациональных прописаны, если они принадлежат множеству..." - угу, я и говорю, для конкретных примеров. "Цель прописать критерий определения иррациональности для всех действительных чисел не ставилась именно в данной статье" - "в данной статье прописано сходство для слов, входящих в множество слов из семи букв, в данной статье не ставилась цель сделать что-то еще". "Почему искусственно выделенными? Почему не несут смысла?" - потому что "логарифм возьмем по натуральному основанию, чтоб назвать все натуральные числа простыми" - это именно искусственное ограничение, не имеющее смысла. "Почему не могут быть сделаны никакие выводы? Докажите" - из-за прочих перечисленных недостатков. "Т.е. достаточно сделать один вывод, чтобы опровергнуть все, что Вы написали в пункте {6a}" - подозреваю, Вы не так поняли слово "вывод" и сейчас сделаете какой-нибудь вывод, не менее бесполезный, чем большая часть статьи. Выведите из этого какую-нибудь теорему, описывающую свойства чего-то, НЕ введенного в этой же статье, или доказательство ранее не доказанной теоремы. "А еще интереснее если свойства действия уровня 2 будут сопоставлены со свойствами действий уровня 1 и 0, чтобы видеть общую закономерность. Про коммутативность, дистрибутивность и ассоциативность этих действий я уже писал" - сопоставьте, сопоставьте. Вот, например, возьмите эти "коммутативность, дистрибутивность и ассоциативность" - и попробуйте поискать, допустим, "поля 2 уровня", в которых вместо умножения "хы", а вместо сложения умножение. Интересно, найдете ли хоть какое-то, кроме комплексных чисел.


18.05.2023, 12:00 Частухин Александр Евгеньевич
Отзыв: {5} «Вы внезапно сбились на другую тему. Перечитайте последние сообщения обеих сторон в подтеме №5.» - Здесь много чего писали. Какая тема Вас интересует? {6} «Тем не менее, в статье это выглядит именно как переопределение умножения через логарифмы и возведение в степень.» - Главное слово здесь «выглядит». {6a} «подозреваю, Вы не так поняли слово "вывод" и сейчас сделаете какой-нибудь вывод, не менее бесполезный, чем большая часть статьи.» - Куда уж мне полезный вывод сделать. Естественно сделаю бесполезный. Знаете ли, по Вашей логике половина математики бесполезна. Дифференциальное исчисление – да, это полезная вещь, применяется например в физике, а благодаря физике и самолеты летают и ракеты. Ну а какая польза от теоремы Ферма? Какая разница верна она или нет? Смысл было 300 лет тратить время на ее доказательство? Бинарная проблема Гольбаха – такая же бессмысленная вещь. Совершенные числа – тоже бессмысленная вещь. Где это реально все применяется? Только не говорите, что в криптографии. В ней можно все что угодно применить. Это все Ваша логика о бесполезности. Смотрели детский фильм «Мария, Мирабелла»? Там лягушонок был, который считал, что он абсолютно бесполезен и не приносит никакой пользы. В конце фильма выяснилось, что и он приносит пользу. «Выведите из этого какую-нибудь теорему, описывающую свойства чего-то, НЕ введенного в этой же статье, или доказательство ранее не доказанной теоремы.» - А Вы представьте, что только недавно ввели понятие совершенных чисел. И вот Вы напишете, а что можно доказать с помощью этого? Какую-то теорему, которая не введена в той же статье, что и понятие совершенных чисел? «и попробуйте поискать, допустим, "поля 2 уровня", в которых вместо умножения "хы", а вместо сложения умножение. Интересно, найдете ли хоть какое-то, кроме комплексных чисел.» - Не понятно где что Вы предлагаете заменить вместо умножения и сложения. «с того, что никакого применения нововводимого, кроме самого "обобщения", в статье не предложено.» - Про применение я уже ответил. «угу, я и говорю, для конкретных примеров» - Когда простые числа изучают только для множества натуральных чисел, это не для конкретных примеров чисел. А когда я в статье беру только множество обратных чисел – это уже только для конкретных примеров. Отлично. "в данной статье прописано сходство для слов, входящих в множество слов из семи букв, в данной статье не ставилась цель сделать что-то еще". – Это снова лирика. «потому что "логарифм возьмем по натуральному основанию, чтоб назвать все натуральные числа простыми" - это именно искусственное ограничение, не имеющее смысла» - Я уже отвечал на этот вопрос. Только натуральные числа и 0 являются понимаемыми числами. Разница по уровням лишь та, что на одном уровне число например простое, на другом это начало или обнуляющее число. Это конечно же искусственное ограничение. Когда изучают простые числа и берут только натуральные числа это не искусственное ограничение. А когда я делаю то же самое то это искусственное ограничение. Отлично. Для чего я должен в качестве оснований брать непонимаемые числа? Это тоже самое как для изучения простых чисел брать дробные числа. Вам не кажется что в пункте {6a} Вам просто уже не к чему придраться? И когда аргументы кончаются, то Вы просто все умножаете на ноль, говоря «что все это бессмысленно». Так можно все что угодно помножить на ноль сказав, что все это бессмысленно. Тогда уж поведайте, какой смысл вращения Земли вокруг Солнца?


19.05.2023, 15:18 Цорин Борис Иосифович
Отзыв: {5} Вы сбились с темы деления иррациональных чисел на "уровни иррациональности" на тему выделения простых чисел и т.д. {6} Я не просил полезный для техники вывод. Я описал, что такое полезный вывод. Новые теоремы или доказательство ранее не доказанных теорем. "А Вы представьте, что только недавно ввели понятие совершенных чисел" - когда совершенные числа вводили, математика была на таком уровне развития, что любая новая идея была ценна. Сейчас понятие "совершенных чисел" для истории математики куда важнее, чем для самой математики. Если бы этот термин не ввели в античности, современным ученым в голову бы не пришло его вводить. "Не понятно где что Вы предлагаете заменить вместо умножения и сложения" - то есть с алгебраической теорией Вы за этот месяц так и не познакомились? Википедия, статья "Поле (алгебра)". "А когда я в статье беру только множество обратных чисел – это уже только для конкретных примеров" - я не понимаю, почему Вы постоянно сбиваетесь на обратные числа. Вы мне защищаете ту часть текста, которую я не трогал. "Обратные числа" - это не множество, но эту часть статьи я изначально не стал комментировать, там больше дефекты формулировок, чем математические проблемы. "Только натуральные числа и 0 являются понимаемыми числами" - вот это, увы, Вас роднит с некоторыми "великими физиками" с этого сайта. Тут полно статей, которые сводятся к "я вот этого не понимаю, значит, надо это менять". "Когда изучают простые числа и берут только натуральные числа это не искусственное ограничение. А когда я делаю то же самое то это искусственное ограничение." - воспользуюсь Вашей терминологией: "Я уже отвечал на этот вопрос". "Для чего я должен в качестве оснований брать непонимаемые числа?" - давайте Вы сначала их поймете, а? "Тогда уж поведайте, какой смысл вращения Земли вокруг Солнца?" - а что, кто-то предлагает НАЧАТЬ вращать Землю вокруг Солнца?


22.05.2023, 18:04 Частухин Александр Евгеньевич
Отзыв: {5} «Вы сбились с темы деления иррациональных чисел на "уровни иррациональности" на тему выделения простых чисел и т.д.» - По-моему я ответил Вам про деление чисел на уровни иррациональности 16.05.2023, 18:29. Какой вопрос остался без ответа? {6} «то есть с алгебраической теорией Вы за этот месяц так и не познакомились? Википедия, статья "Поле (алгебра)"» - Ознакомился бегло. Но не совсем понял: «и попробуйте поискать, допустим, "поля 2 уровня", в которых вместо умножения "хы", а вместо сложения умножение. Интересно, найдете ли хоть какое-то, кроме комплексных чисел.». «когда совершенные числа вводили, математика была на таком уровне развития, что любая новая идея была ценна. Сейчас понятие "совершенных чисел" для истории математики куда важнее, чем для самой математики.» - Не скажите. Если бы они были так неважны, то среди нерешенных проблем теории чисел не выделяли бы такие проблемы: не существует нечетных совершенных чисел; количество совершенных чисел бесконечно. «Если бы этот термин не ввели в античности, современным ученым в голову бы не пришло его вводить.» - Не скажите. В более позднее время ненужных вещей не придумывали в математике? Вы не ответили, какая польза от теоремы Ферма? А от бинарной проблемы Гольдбаха? А от упоминаемой здесь в переписке гипотезы Коллатца, которая также является одной из открытых проблем теории чисел? Или я должен понимать так, если что-то придумал западный ученый, то это автоматически становится частью науки, пусть даже и открытой проблемой в ней, а если что-то придумали не на западе, то это никому не нужно и смысла в этом нет? «Я не просил полезный для техники вывод. Я описал, что такое полезный вывод. Новые теоремы или доказательство ранее не доказанных теорем.» - Сперва ответьте на вопрос полезности вышеприведенных гипотез и теорем, чтобы мне понимать, что полезно, а что нет. «я не понимаю, почему Вы постоянно сбиваетесь на обратные числа.» - Потому что из множества этих чисел в статье приводятся иррациональные числа того или иного уровня. «"Обратные числа" - это не множество» - Почему? Потому что про это нигде не пишут западные ученые? «вот это, увы, Вас роднит с некоторыми "великими физиками" с этого сайта. Тут полно статей, которые сводятся к "я вот этого не понимаю, значит, надо это менять".» - Я такое не утверждал: «я вот этого не понимаю, значит, надо это менять». Вы уже придумываете. «давайте Вы сначала их поймете, а?» - Для этого и вводится уровень иррациональности, или уровень непонимаемости. По-Вашему понимаемость числа 2, например через ситуацию: на столе лежит два айфона, равна понимаемости «-1 айфон» или «1/2 айфона»? Натуральные числа это те же понимаемые числа по-сути. Натуральный, т.е. естественный. Остальные числа значит неестественные. Если я назвал их «непонимаемые» Вас это как-то смущает? Наверное если я бы их назвал неестественными, то Вы бы написали «давайте Вы сначала поймете их естество». Мы опять приходим к терминологии. Хорошо, если будет не уровень иррациональности, а уровень ненатуральности, так будет лучше? «а что, кто-то предлагает НАЧАТЬ вращать Землю вокруг Солнца?» - А какие свойства чисел я начал в этой статье?


23.05.2023, 7:12 Цорин Борис Иосифович
Отзыв: {5} "По-моему я ответил Вам про деление чисел на уровни иррациональности 16.05.2023, 18:29" - и этот ответ, что интересно, не имел отношения к Вашему "делению чисел на уровни иррациональности", кроме той части этого Вашего "деления", в которой Вы объявляли рациональные числа иррациональными. А вот из иррациональных чисел Вы взяли только некоторое счетное множество иррациональных чисел, разделили его на уровни, а остальной континуум иррациональных чисел оставили без разделения. Следовательно, никакого разделения иррациональных чисел на уровни Вы не провели, а только придумали существование уровней и записали на эти уровни некоторые примеры. {6} "Но не совсем понял" - в поле должны быть определены две операции: условное умножение и условное сложение, они должны иметь обратные операции (кроме обратной к умножению на условный ноль). Полей математики нашли много. Согласно Вашим утверждениям, Ваша операция "хы" так же относится к умножению, как умножение к сложению. Тогда операция "хы" в поле должна иметь возможность выступать в качестве условного умножения, а операция умножения в качестве условного сложения. Докажите, что комплексные числа в этом случае останутся полем (формально проверьте каждую часть определения поля). Найдите еще хотя бы одно поле для этих операций. {6a} "Если бы они были так неважны, то среди нерешенных проблем теории чисел не выделяли бы такие проблемы" - я уже говорил, но повторю еще раз. "Возьмем известный объект и найдем его свойства" - это наука. Даже если объект или свойство не представляет практической значимости. "Сочиним новый объект, не имеющий значимости ни на практике, ни для анализа свойств известных объектов" - не наука. "Вы не ответили, какая польза от теоремы Ферма? А от бинарной проблемы Гольдбаха? А от упоминаемой здесь в переписке гипотезы Коллатца, которая также является одной из открытых проблем теории чисел?" - все они описывают свойства уже известных на момент их формулировки объектов и процессов. {6b} "«"Обратные числа" - это не множество» - Почему? Потому что про это нигде не пишут западные ученые?" - потому что просто "обратных чисел" не существует. Существуют "числа, обратные каким-либо числам относительно какой-либо операции". Обычно при этом подразумевают операцию умножения и не называют ее. То, что Вы называете "обратными числами", на самом деле правильно называть "числа, обратные натуральным". А вот Ваша теория заговора к науке не то чтоб вообще не имела отношения, а скорее имеет отношение отрицательное. {6c} "По-Вашему понимаемость числа 2, например через ситуацию" - уровень начальной школы или первобытных людей. Не науки. "Натуральный, т.е. естественный" - натуральный, то есть возникающий естественным образом, при счете, и известный до возникновения в античном мире науки математики. {6d} "Хорошо, если будет не уровень иррациональности, а уровень ненатуральности, так будет лучше?" - я уже отвечал. Если Вы не будете давать известным терминам новые значения (в частности, объявлять рациональные числа "иррациональными первого уровня"), мера научности статьи хотя бы уйдет из минуса. К нулю. {6e} "А какие свойства чисел я начал в этой статье?" - Вы предлагаете ввести, то есть начать использовать, довольно много чего. Но не свойства чисел, а операции и термины.


25.05.2023, 0:02 Частухин Александр Евгеньевич
Отзыв: {5} «а только придумали существование уровней» - Слово «придумали» здесь неуместно. По Вашей логике получается, что когда-то придумали простые числа, составные числа. Не придумали, а ввели понятие. Математические истины существуют без привязки к людям, а чтобы описать эти истины люди могут вводить те или иные термины. «и записали на эти уровни некоторые примеры» - Не примеры, а бесконечное множество, пусть счетное, обратных чисел. Вы же правильно пишете «Вы взяли только некоторое счетное множество». «Следовательно, никакого разделения иррациональных чисел на уровни Вы не провели» - В статье не ставилась цель взять существующее бесконечное и несчетное множество всех иррациональных чисел и поделить их на уровни. А утверждалось, что на каждом уровне действия при обратном действии с понимаемыми, т.е. натуральными, числами могут возникать непонимаемые, т.е. иррациональные числа того или иного уровня. Если бы удалось ввести какой-то универсальный критерий, по которому все действительные числа относились бы к тому или иному уровню иррациональности, пусть даже дробному или бесконечному в каких-то случаях, это было бы отлично. Но это отдельная и большая работа. В данной статье такая цель не ставилась. Давайте не будем возвращаться к Вашему утверждению, что я должен предоставить работу на 200 страниц, в которой будет сразу все и вся. В данном журнале такую работу даже не опубликуют по причине большого размера. {6} «Докажите, что комплексные числа в этом случае останутся полем (формально проверьте каждую часть определения поля)» - По всей видимости доказательство будет сводиться к выполнению 9 аксиом. И возможно нужно будет для действия уровня 2 оговорить сразу основание, чтобы определить нулевой элемент. И доказать, что это справедливо для любого основания больше 1. «Найдите еще хотя бы одно поле для этих операций» - Еще одним полем будет возможно множество действительных положительных чисел. {6a} «"Возьмем известный объект и найдем его свойства" - это наука. Даже если объект или свойство не представляет практической значимости.» - Если объект не представляет практической значимости, то как изначально его ввели в науку исходя из Вашей логики? Его сочинили? Давайте возьмем известный объект – число 115. Изучим его свойства. Деление на 1: остаток 0. Деление на 2: остаток: 1. Деление на 3: остаток: 1. Деление на 4: остаток: 3. Деление на 5: остаток: 0. И т.д. Это наука? «"Сочиним новый объект, не имеющий значимости ни на практике, ни для анализа свойств известных объектов" - не наука.» - Что значит сочиним новый объект? Если объект вытекает из какой-то логики, то это сочинение? Или это мы саму логику сочиняем? «все они описывают свойства уже известных на момент их формулировки объектов и процессов» - Вон оно что. Ладно с теоремой Ферма. Бинарная проблема Гольдбаха. Простые числа возникают из свойств делимости чисел. К операции сложения они относятся так же как и все остальные числа. Утверждение, что любое чётное число, начиная с 4, можно представить в виде суммы двух простых чисел никакого смысла не имеет. По сути оно вытекает чисто по теории вероятности. Чем больше величина четного числа, тем количество таких разбиений числа на два простых числа больше. Например для 100 условно будет 20 таких разбиений. А для 1000 уже условно 50. Для 10000 еще больше. И очевидно бинарная проблема Гольдбаха выполняется. Эта гипотеза из разряда: в любое время суток допустим человек идет где-то по Москве в пределах МКАДа и вот гипотеза, что в рамках допустим часовой прогулки человек обязательно встретит хотя бы одного другого человека. Доказать это сложно. Но можно сделать попытки. Сделали 1000 попыток. Оказалось, что гипотеза верна. Но может быть в 1001-ую попытку данная гипотеза будет опровергнута. И оказывается бинарная проблема Гольдбаха включена в список проблем Гильберта. Теперь гипотеза Коллатца. Никакого смысла в ней нет абсолютно. А давайте умножать любое натуральное число на 5 и прибавлять 3. Если оно делится на 7 с остатком от 0 до 3 то отнимаем этот остаток и делим на 7. А если оно делится с остатком от 4 до 6, то дальше умножаем на 5 и прибавляем 3. Делая так мы придем рано или поздно допустим к числу 1. В этой гипотезе естественно присутствует глубокий смысл. И данную гипотезу нужно обязательно включить в нерешенные проблемы математики. {6b} «потому что просто "обратных чисел" не существует. Существуют "числа, обратные каким-либо числам относительно какой-либо операции".» - Я по-простому называю «обратные числа». Под множеством обратных чисел можно понимать следующее. Для того или иного уровня действия для натуральных чисел, которые не являются обнуляющими числами или нулевыми числами мы делаем для каждого натурального числа обратное действие с другим натуральным числом. Если полученный результат принадлежит множеству натуральных чисел, то он не принадлежит множеству обратных чисел. И наоборот. Например для сложения. 2-1=1 – натуральное число, значит 1 не обратное число. 1-2=-1 – ненатуральное число, значит оно обратное. И так для всех уровней. «А вот Ваша теория заговора к науке не то чтоб вообще не имела отношения, а скорее имеет отношение отрицательное.» - Это не теория заговора. Это скорее влияние авторитета. Это видно начиная с песочницы и заканчивая масштабом государств. Вы по жизни не наблюдали такой эффект? Допустим в одном классе один мальчик является авторитетом и он предлагает всем играть в шахматы и все сразу тоже этим начинают увлекаться. А в другом классе неавторитетный ботаник предлагает играть в шахматы и ему уже все говорят, что это никому не нужно и не интересно. {6d} «Если Вы не будете давать известным терминам новые значения (в частности, объявлять рациональные числа "иррациональными первого уровня"), мера научности статьи хотя бы уйдет из минуса. К нулю.» - Раньше Вы вроде 10% оставляли для чего-то хорошего. Сейчас очевидно Вы понизили оценку. {6c} «уровень начальной школы или первобытных людей. Не науки.» - Понимаемые числа может понять даже обезьяна. Можно показать ей один банан и сказать «угу». Потом два и сказать «угу, угу». В итоге и сама обезьяна будет понимать сколько раз угукать. {6e} «Вы предлагаете ввести, то есть начать использовать, довольно много чего. Но не свойства чисел, а операции и термины.» - Эти операции и термины вытекают из некоторой логики перехода от одного уровня коммутативного действия к другому. Есть и уже существующая логика перехода. Многократное сложение это умножение – следующий уровень. Многократное умножение это степень – следующий уровень. Но на возведении в степень все и останавливается, потому что это уже не коммутативное действие. Все длиннее и длиннее становятся ответы.


25.05.2023, 15:52 Цорин Борис Иосифович
Отзыв: {5} "А утверждалось, что на каждом уровне действия при обратном действии с понимаемыми, т.е. натуральными, числами могут возникать непонимаемые, т.е. иррациональные числа того или иного уровня" - то есть Вы утверждаете, что числа вида "корень натуральной степени из натурального числа" образуют множество чисел, обратных натуральным, относительно операции "хы"? Или это снова только примеры чисел из этого множества? Не могли бы Вы сказать, какое число Вы считаете обратным числу 3 относительно операции "хы" по основанию 2? {6a} "Если объект не представляет практической значимости, то как изначально его ввели в науку исходя из Вашей логики?" - либо он был введен в науку на заре времен (например, совершенные числа), когда толком не разделяли даже науку и религию (см. пифагорейцев), либо его не вводили в науку, а он просто существует вне зависимости от того, изучают его или нет (например, какой-то материальный объект). {6a-1} "Давайте возьмем известный объект – число 115. Изучим его свойства. Деление на 1: остаток 0. Деление на 2: остаток: 1. Деление на 3: остаток: 1. Деление на 4: остаток: 3. Деление на 5: остаток: 0. И т.д. Это наука?" - наука арифметика, уровень 2-3 класса. Статью писать не стоит, так как эти свойства объекта "число 115" изучили задолго до Вас. {6a-2} "Что значит сочиним новый объект? Если объект вытекает из какой-то логики, то это сочинение?" - да. Но не теряйте часть "не имеющий значимости ни на практике, ни для анализа свойств известных объектов". "Утверждение, что любое чётное число, начиная с 4, можно представить в виде суммы двух простых чисел никакого смысла не имеет" - да, но это не сочинение нового объекта, это гипотеза о свойствах уже имеющихся объектов. Гипотеза Коллатца - аналогично. {6b} "Если полученный результат принадлежит множеству натуральных чисел, то он не принадлежит множеству обратных чисел" - ошибочный подход. "мы делаем для каждого натурального числа обратное действие с другим натуральным числом" - катастрофическая ошибка. Откройте, например, статью википедии "Обратный элемент". Относительно сложения для 5 обратный элемент -5, относительно умножения 1/5. Никаких "для каждого натурального с каждым натуральным". Или Вы опять решили ввести что-то свое и дать ему название словом, которое в математике уже имеет значение? {6d} "Раньше Вы вроде 10% оставляли для чего-то хорошего" - 10% - это сколько надо оставить от статьи, чтоб ее мера научности вышла в легкий плюс. Другое дело, что тогда по объему на статью тянуть не будет. {6c} "В итоге и сама обезьяна будет понимать сколько раз угукать" - но вот беда, ее угуканье не будет научной статьей. {6e} "Многократное сложение это умножение – следующий уровень. Многократное умножение это степень – следующий уровень" - возведение в степень применяется много где. Где можно применить Вашу "хы", я пока не вижу. В статье тоже ни одного применения. {6e-1} "Эти операции и термины вытекают из некоторой логики перехода от одного уровня коммутативного действия к другому" - все, что позволяет сделать эта логика, - это составлять поля, в которых в качестве аддитивной операции используется умножение, а в качестве мультипликативной - "хы". Уберите из статьи всю ересь про "уровни рациональности" и прочее переопределение известных терминов. Оставьте операцию "хы". Добавьте строгое доказательство того, что комплексные числа и положительные действительные числа в этом случае будут полями. Если нигде не ошибетесь, работа вполне достигнет уровня студенческой научной работы.


30.05.2023, 1:25 Частухин Александр Евгеньевич
Отзыв: {5} «то есть Вы утверждаете, что числа вида "корень натуральной степени из натурального числа" образуют множество чисел, обратных натуральным, относительно операции "хы"? Или это снова только примеры чисел из этого множества?» - На уровне 2 начал много, они равны основанию Осн. Для каждого начала свои простые и составные числа, которые являются его степенями. Если брать обратные числа только у простых и составных чисел, только относящихся к данному началу-основанию, то да, результат будет Осн^(1/a), где a – натуральное число больше 1. «Не могли бы Вы сказать, какое число Вы считаете обратным числу 3 относительно операции "хы" по основанию 2?» - 2^Log(числа 2 по основанию 3). В Вашем примере число 3 не является ни простым, ни составным у основания 2. {6a} «либо он был введен в науку на заре времен (например, совершенные числа), когда толком не разделяли даже науку и религию» - Надо называть вещи своими именами. А то из Вашего ответа вытекает, что совершенные числа смысла не имеют, сейчас никто бы даже не ввел такие понятия. Но раз их когда-то ввели, то давайте в связи с этим включим в нерешенные проблемы математики и проблемы связанные с ними. Это не логично. Логичнее провести инвентаризацию понятий. И признать совершенные числа устаревшим понятием, которое ввели, когда не было четкого разделения науки и религии, и сейчас это понятие никакого смысла не имеет и никакой значимости соответственно тоже. Таким образом, никакие нерешенные проблемы, связанные с ними, не должны включаться в науку. Однако этого нет. Поэтому Ваша теория о том, что раз когда-то включили, значит включили, извините, значит пусть они будут. Без проблем. Пусть проведут инвентаризацию понятий и уберут из науки ненужные понятия и нерешенные проблемы, оставив их только в истории развития науки. «либо его не вводили в науку, а он просто существует вне зависимости от того, изучают его или нет (например, какой-то материальный объект)» - Если существует материальный объект, это другое дело. {6a-1} «Статью писать не стоит, так как эти свойства объекта "число 115" изучили задолго до Вас» - А свойства числа 2343454459084350435435435435897346? {6a-2} «Но не теряйте часть "не имеющий значимости ни на практике, ни для анализа свойств известных объектов"» - А Вы сами придумали такое правило, что бессмысленные гипотезы сочинять можно раз они касаются чего-то уже известного в математике? Или Вы смотрите по факту, раз в математике они есть, значит как-то же надо придать им легитимности в их присутствии в математике, значит должно быть и соответственное правило? {6b} «ошибочный подход» - Почему? «катастрофическая ошибка. Откройте, например, статью википедии "Обратный элемент". Относительно сложения для 5 обратный элемент -5, относительно умножения 1/5. Никаких "для каждого натурального с каждым натуральным". Или Вы опять решили ввести что-то свое и дать ему название словом, которое в математике уже имеет значение?» - Мы говорили о иррациональных числах того или иного уровня. И я писал про множество обратных чисел, что для него можно найти уровень иррациональности того или иного числа. Назовите это множество как-то по-другому, если видите, что такое понятие уже есть. Это не столь важно. Обязательно писать «катастрофическая ошибка, все пропало»? Давайте без паники. Согласен, что название описываемого мною множества «для каждого с каждым» возможно неудачно, но это не отменяет само это множество. {6d} «10% - это сколько надо оставить от статьи, чтоб ее мера научности вышла в легкий плюс. Другое дело, что тогда по объему на статью тянуть не будет.» - Печально. {6c} «но вот беда, ее угуканье не будет научной статьей» - Это наука биология. Вы писали о применении. На высших приматах мы проверим уровни понимаемости чисел. Сначала понимаемые, т.е. натуральные числа, затем нулевой уровень непонимаемых чисел, затем первый уровень. Будет ли для высших приматов именно в такой последовательности увеличиваться трудность понять числа – это мы и выясним. {6e} «возведение в степень применяется много где. Где можно применить Вашу "хы", я пока не вижу. В статье тоже ни одного применения.» - Возможно в теории чисел где-то может применяться. Я также не знаю где применить гипотезу Коллатца. {6e-1} «все, что позволяет сделать эта логика, - это составлять поля, в которых в качестве аддитивной операции используется умножение, а в качестве мультипликативной - "хы".» - Почему же эта логика не позволяет по аналогии например ввести аналог простых чисел для уровня 2 и это сразу становится для Вас ересью? «Добавьте строгое доказательство того, что комплексные числа и положительные действительные числа в этом случае будут полями. Если нигде не ошибетесь, работа вполне достигнет уровня студенческой научной работы.» - А что Вы посоветовали бы Гольдбаху и Коллатцу в плане чего-то более нужного и полезного, чем их гипотезы?


30.05.2023, 6:18 Цорин Борис Иосифович
Отзыв: {5} "Если брать обратные числа только у простых и составных чисел" - а почему только у них, если до этого шла речь про числа, обратные натуральным? {6a} "А то из Вашего ответа вытекает, что совершенные числа смысла не имеют, сейчас никто бы даже не ввел такие понятия" - именно так. "Но раз их когда-то ввели, то давайте в связи с этим включим в нерешенные проблемы математики и проблемы связанные с ними" - в списке Гильберта про них ничего нет, в списке Смейла тоже. К важным математическим проблемам их никто не относит. Но да, раз их когда-то ввели, то их изучают. Потому что объект исторически существует. "Это не логично. Логичнее провести инвентаризацию понятий" - Вы в очередной раз путаете "логично" с "это кажется правильным Вашей личной ненаучной системе взглядов". {6a-1} "А свойства числа 2343454459084350435435435435897346?" - тоже, тоже. Алгоритм нахождения остатков от деления работает для всех натуральных чисел. "А Вы сами придумали такое" - ну попробуйте хотя бы в Википедии прочитать статью "математика". {6b} "Назовите это множество как-то по-другому, если видите, что такое понятие уже есть" - ну то есть Вы известным терминам придаете неверные значения, а потом предлагаете мне придумать другой термин. Отличный план. "Но это не отменяет само это множество" - но снова делает еще одну часть статьи и неверной, и бессмысленной. {6c} "На высших приматах мы проверим уровни понимаемости чисел" - так, может, я не по адресу в статью зашел? Может, эта статья предназначалась не для человеческой науки, а для обезьяньей? {6d} "Возможно в теории чисел где-то может применяться" - классика, "я тут придумал, а вы думайте, зачем я это придумал". {6e} "Я также не знаю где применить гипотезу Коллатца" - в отличие от Ваших утверждений, гипотеза Коллатца описывает свойства имеющихся операций, а не вводит новые. {6e-1} "Почему же эта логика не позволяет по аналогии например ввести аналог простых чисел для уровня 2 и это сразу становится для Вас ересью?" - меня всегда удивляла краткосрочность памяти некоторых людей. Отвечаю еще раз: потому что это не является изучением свойств имеющихся чисел, а является бессмысленным переопределением терминов. "А что Вы посоветовали бы Гольдбаху и Коллатцу в плане чего-то более нужного и полезного, чем их гипотезы?" - научить Вас читать.


30.05.2023, 6:22 Цорин Борис Иосифович
Отзыв: Вы меня уже утомили: по десятку раз задаете одни и те же вопросы, как будто не читаете ответы.


31.05.2023, 14:52 Частухин Александр Евгеньевич
Отзыв: {5} «а почему только у них, если до этого шла речь про числа, обратные натуральным?» - Поэтому в таблице 1 и приводится подробно для каждого уровня: начала, простые числа, обнуляющие числа и т.д. И видно усложнение логики от уровня к уровню. Если для сложения только одно начало и одно простое число, то для умножения одно начало и уже много простых чисел. А для уровня 2 уже много начал и для каждого начала свои простые и составные числа. Такое усложнение логики можно сравнить с таблицей Менделеева. В первом периоде находятся только два s-элемента. Все очень просто. Уже во втором периоде добавляется шесть p-элементов. В четвертом периоде добавляются d-элементы. Периоды все усложняются и усложняются. В шестом периоде появляются f-элементы. {6a} «в списке Гильберта про них ничего нет, в списке Смейла тоже.» - Заметьте, что списки важных нерешенных математических проблем составляют только западные ученые. Это логично, у них же самый высокий авторитет. А для науки естественно авторитет «не важен». Это для религии он важен. А для науки «нет». «К важным математическим проблемам их никто не относит.» - К важным не относят, но в списке нерешенных проблем теории чисел они есть. Я собственно и не утверждал, что в данной статье вводятся очень важные понятия. «Но да, раз их когда-то ввели, то их изучают. Потому что объект исторически существует.» - Это логично. Астрологию когда-то ввели. Она исторически существует. Естественно нужно ее изучать и в наше время. Собственно ее и изучают. Имеется много последователей данного древнего направления мысли. «Вы в очередной раз путаете "логично" с "это кажется правильным Вашей личной ненаучной системе взглядов".» - А что относится к научной системе взглядов это естественно определяют только западные ученые и философы. А остальные это только раболепно принимают. Это все логично. Что позволено Юпитеру, то не позволено быку. Но наивно думать, что они сами соблюдают те правила, которые придумывают. Правильно, директор в компании, когда устанавливает рабочий день, начиная с 9:00, из этого ведь не следует, что он сам будет приходить каждый день к этому времени, и на него будет распространяться такое понятие как опоздание. Так почему же у меня «ненаучная система взглядов»? {6a-1} «тоже, тоже. Алгоритм нахождения остатков от деления работает для всех натуральных чисел.» - Алгоритм да. Но из этого не следует, что данный алгоритм применяли для этого числа и анализировали его остатки. «ну попробуйте хотя бы в Википедии прочитать статью "математика".» - На что именно Вы ссылаетесь в этой большой статье? {6b} «ну то есть Вы известным терминам придаете неверные значения, а потом предлагаете мне придумать другой термин. Отличный план.» - Вы же ведь цепляетесь к терминам. «но снова делает еще одну часть статьи и неверной, и бессмысленной» - На счет «бессмысленной» я уже понял, что имеет смысл или не имеет, определяют западные ученые, ну и те кто им пытается следовать. А почему «неверной»? {6c} «так, может, я не по адресу в статью зашел? Может, эта статья предназначалась не для человеческой науки, а для обезьяньей?» - Если в научном кабинете где-то стоит скелет динозавра, это ведь не значит, что это динозавровая наука. {6d} «классика, "я тут придумал, а вы думайте, зачем я это придумал".» - Вы же гоняетесь за правилом «где это использовать?». В прикладной науке Вы вправе задавать этот вопрос. {6e} «в отличие от Ваших утверждений, гипотеза Коллатца описывает свойства имеющихся операций, а не вводит новые.» - Гипотеза Коллатца вводит бессмысленные итерации. {6e-1} «Отвечаю еще раз: потому что это не является изучением свойств имеющихся чисел, а является бессмысленным переопределением терминов.» - На счет «бессмысленным» уже все понятно. Добавить нечего. Все правильно - незападные ученые должны заниматься именно «изучением свойств имеющихся чисел». А расширить понятие или ввести что-то новое могут только западные ученые. В противном случае это никому не нужно и бессмысленно, еще и ненаучно. «Вы меня уже утомили: по десятку раз задаете одни и те же вопросы, как будто не читаете ответы.» - Вы же тоже повторяете постоянно: «бессмысленно», «ненаучно» и т.д. Я каждый раз пытаюсь возражать. Помимо «бессмысленно», «где можно применить» и «придание известным терминам нового значения», т.е. к самой логике уровней действия есть замечания? На счет терминов я не утверждаю, что предлагаемые в статье термины самые удачные, возможно что-то можно назвать более удачно.


31.05.2023, 16:25 Цорин Борис Иосифович
Отзыв: {5} "Такое усложнение логики можно сравнить с таблицей Менделеева" - во-первых, таблица Менделеева описывает существующие объекты, а Вы описываете исключительно придуманные Вами же вещи; во-вторых, вопрос был о том, почему внезапно в ходе дискуссии поменялось то, к каким числам мы ищем обратные. {6a} "Заметьте, что списки важных нерешенных математических проблем составляют только западные ученые" - Вам что мешает проверять свои ложные утверждения перед тем, как их формулировать в виде текста? Хотя бы на уровне Википедии проверять, я уж не прошу большего. "Астрологию когда-то ввели" - Вы реально не понимаете разницу между "в древности ввели термин, для которого не нашлось практической применимости" и "в древности ввели комплекс утверждений, оказавшийся ложным"? Или так, демагогию разводите? "А что относится к научной системе взглядов это естественно определяют только западные ученые и философы" - Вы все чаще сбиваетесь на свою конспирологию. Уже по несколько раз за сообщение. Может, Вам свои статьи не на сайте, пытающемся быть научным, публиковать, а на Царьграде и Звезде? "Так почему же у меня «ненаучная система взглядов»?" - есть много возможных причин. Может, учились плохо, может, слишком много слушали глупостей, а может, это вообще органическое поражение. {6a-1} "Но из этого не следует, что данный алгоритм применяли для этого числа и анализировали его остатки" - я так понимаю, что если бы Вы интересовались не математикой, а биологией, то мы бы сейчас читали статьи уровня "Отличия кошки Муськи от кошки Пуськи"? "На что именно Вы ссылаетесь в этой большой статье?" - изучите хотя бы несколько первых абзацев, описывающих в целом, чем занимается математика. {6b} "Вы же ведь цепляетесь к терминам", "А почему «неверной»?" - обезьяна фхыщкает глаза. Это очень важное утверждение, которое Вам надо осознать, и оно перевернет Ваше мировоззрение. Только учтите, что под обезьяной в нем понимается совершенно не то, что все человечество понимало под обезьяной до этого. {6c} "Если в научном кабинете где-то стоит скелет динозавра, это ведь не значит, что это динозавровая наука" - но если кто-то начинает делить что-то на "понятное динозавру" и "непонятное динозавру", то это в лучшем случае наука "зоопсихология", в худшем - не наука вообще. {6e} "Гипотеза Коллатца вводит бессмысленные итерации" - но это итерации давно известных операций, производимых с давно известными объектами. Вот такое неожиданное свойство нашлось у арифметических действий с натуральными числами. Подобного рода малозначительных не доказанных и не опровергнутых гипотез много. Но у Вас в статье я не вижу ни одной гипотезы. {6e-1} "К самой логике уровней действия есть замечания?" - для начала исправьте терминологию. Пока в статье есть слова, совпадающие с известными терминами омонимически, но не совпадающие семантически, представленные утверждения не являются корректными вне зависимости от того, какую "логику уровней" Вы держите в голове.


6.06.2023, 2:42 Частухин Александр Евгеньевич
Отзыв: {5} «во-первых, таблица Менделеева описывает существующие объекты, а Вы описываете исключительно придуманные Вами же вещи;» - Я таблицу Менделеева упомянул для примера, как там идет усложнение логики по мере роста периода, так и для уровней действия имеет место быть усложнение логики. Я Вам уже все объяснил и каждый раз мне приходится это делать снова и снова. Я уже писал, что математические истины существуют в своей абстракции без привязки к человеку. Человек может, прогоняя через свою призму, давать какие-то понятия, выделять объекты и изучать впоследствии их свойства. Слово «придуманные» здесь не уместно. Если взять даже непридуманные действия сложения и умножения, то можно увидеть во многом их сходство. Это касается нулевого элемента, коммутативности, ассоциативности и т.д. Но призма человека ввела понятие неделимых чисел, т.е. простых, только для действия умножения, хотя могло быть дано и альтернативное определение, включающее неделимые числа и для операции сложения. Там только одно число 1, но это не важно. Как именно будет дано определение зависит от человека. И я конечно же придумываю свои вещи, когда даю расширенное понятие простого числа. Я даже согласился дать другой термин: «неделимые числа», 1-ый уровень которых будет соответствовать простым числам. Но Вы и это забраковали. Правильно. Это же не придумал западный ученый. А Вы раболепно склоняете голову только перед ними. Все что придумали не они это априори никому не нужно и ненаучно. Вот результат всей Вашей логики. Если так рассуждать, то вся математика придумана. Но поскольку она придумана западными учеными, то все нормально, это наука. Любое определение, данное другим человеком, не научно. Вы гениально написали, что все, что нужно делать математику, это заниматься «изучением свойств имеющихся чисел». Да, все верно. Незападному человеку только это и остается раболепно делать, используя термины и все остальное, что придумали на западе. Вы хороший слуга запада. Вы хорошо бракуете все, что придумали не на западе и хорошо пиарите, то, что придумали на западе. «во-вторых, вопрос был о том, почему внезапно в ходе дискуссии поменялось то, к каким числам мы ищем обратные.» - Это у Вас поменялось. Из логики уровней действий описанной в статье изначально понятно, что простые и составные числа привязаны к тому или иному началу. Для сложения и умножения оно одно, поэтому там проще. Но для второго уровня оно не одно. Соответственно и обратные простые и составные числа будут привязаны к тому или иному началу. Это что касается логики деления чисел на обнуляющие числа, начала, простые числа, составные числа и т.д. Без привязки к этой логике естественно можно получить обратный элемент для абсолютно любого числа при фиксированном основании. Будет ли он действительным или нет, это другой вопрос. {6a} «Вам что мешает проверять свои ложные утверждения перед тем, как их формулировать в виде текста?» - Во-первых, они не ложные. Во-вторых, я все свои утверждения проверяю. «Хотя бы на уровне Википедии проверять, я уж не прошу большего» - Если я даю какое-то определение и выясняется, что уже есть такой термин, означающий несколько иное – то для Вас это катастрофическая ошибка, в то время как я каждому своему термину даю пояснение. Вы же, желая довести ситуацию до абсурда, в качестве примера придумали много непонятных слов, но ни одному из них не дали пояснения. Поэтому я занимаюсь наукой, а Вы занимаетесь ерундой, пытаясь посмеяться над придуманными не западом терминами. Это нормально. Они тоже смеются и не принимают ничего, что предлагается не ими. «Вы реально не понимаете разницу между "в древности ввели термин, для которого не нашлось практической применимости" и "в древности ввели комплекс утверждений, оказавшийся ложным"? Или так, демагогию разводите?» - И в том и в другом случае заниматься этими направлениями будет тратой времени, интеллектуальных ресурсов, и если угодно денег налогоплательщиков. А то что «оказавшийся ложным» с этим можно и поспорить. Например, известно отношение Рерихов к астрологии. Поэтому не «оказавшийся ложным», а не доказана научность данного подхода. Такая же примерно ситуация и с религией. Порой она противоречит науке. Но вот парадокс, очень многие ученые, в частности математики, являются последователями той или иной религии. И более того, в самой математике видят что-то, что доказывает существование Бога. Ну а раз так, то не надо торопиться с ярлыком «оказавшийся ложным». Но вешать ярлыки Вы большой специалист. И когда я предлагаю старым понятиям провести инвентаризацию, и убрать их из науки, оставив только в истории науки, то Вы конечно же повесите на меня ярлык «Вашей личной ненаучной системе взглядов». Естественно более научно следовать за западными древними авторитетами и продолжать изучать то, что они придумали. Наука ведь «не идет» за авторитетами. Она все «критически» осмысливает. И никогда «не идет» за традициями. «Вы все чаще сбиваетесь на свою конспирологию. Уже по несколько раз за сообщение. Может, Вам свои статьи не на сайте, пытающемся быть научным, публиковать, а на Царьграде и Звезде?» - А я не буду ничего подобного писать, если Вы будете относиться к западным ученым также как ко всем остальным. И если на западе придумали что-то, что не имеет никакой практической значимости, то так об этом и говорить. И не пиарить их задумки. Не оправдывать их действия. А Вы именно это и делаете. Придумали свою логику, почему гипотеза Коллатца это наука, а то, что написано в данной статье это ненаука. Более того, Вы идеализируете науку. Наука это сфера человеческой деятельности. А человек склонен совершать ошибки, идти за авторитетом и т.д. Наука здесь не исключение. Я Вам уже писал много раз, что есть истины сами по себе, а есть то, как это представлено в науке. И вот так как представлено в науке не факт что это наилучший вариант, что он не требует дополнений. В иных случаях что-то отбросить из понятий или дать несколько иные. В любом случае Ваше резюме – «ненаучно» - смешно. Статья относится к науке математике, как бы Вы этому не противились. Вы можете цепляться к терминам, говорить, что уже имеется такой термин и он означает другое. Это ничего не меняет. Статья остается научной. «есть много возможных причин. Может, учились плохо, может, слишком много слушали глупостей, а может, это вообще органическое поражение.» - И Вы продолжаете ёрничать или пытаться посмеяться. Я Вам напишу, что Вы не имеете отношения к науке. Вы спросите почему. А я напишу. Я не знаю почему Вы не понимаете науку, возможно плохо учились в школе, а может много слушали глупостей и т.д. Вы занимаетесь ерундой. Вам давно следует признать, что Вы поторопились назвать это ненаукой. Но Вы продолжаете стоять на своем мнении, придумывая каждый раз все новые нелепости. {6a-1} «я так понимаю, что если бы Вы интересовались не математикой, а биологией, то мы бы сейчас читали статьи уровня "Отличия кошки Муськи от кошки Пуськи"?» - Очередной Ваш бред. Я же говорю, Вы на ходу придумываете разные нелепости. «изучите хотя бы несколько первых абзацев, описывающих в целом, чем занимается математика» - Здесь Вы уже пытаетесь выставить собеседника в том свете, что он «не знает даже совсем элементарных вещей». «Он не знает даже чем занимается математика.» Вы не ходите вокруг и около. Если хотите что-то написать конкретное из этой статьи, то напишите. {6b} «обезьяна фхыщкает глаза» - Очередное ерничанье. Разница между нами такая, что любому термину, который я дал, я дал пояснение. И не важно уже имеется такое слово или нет. Вы же придумываете на ходу слова. Пояснения им не даете. Таким образом, Ваши фразы теряют смысл. В то время как в моих математических утверждениях смысл есть. «Это очень важное утверждение, которое Вам надо осознать, и оно перевернет Ваше мировоззрение.» - Здесь уже Вы приписываете мне того, что я не утверждал. Я не утверждал что в статье очень важные выводы и термины. И не утверждал, что это перевернет чье-либо мировоззрение. Но Вы уже забываетесь. Вы выдаете желаемое за действительное. Как я и писал выше, Вы сочиняете на ходу. Это очень научно. Так делают самые лучшие ученые. «Только учтите, что под обезьяной в нем понимается совершенно не то, что все человечество понимало под обезьяной до этого» - Вы не делайте предостережений типа «учтите», а просто напишите, что Вы понимаете под словом «обезьяна». И посмотрим, насколько оправдано было использовать именно это слово в Вашем случае. А то как ерничать так Вы первый, а как самому давать термины так сразу в кусты. {6c} «но если кто-то начинает делить что-то на "понятное динозавру" и "непонятное динозавру", то это в лучшем случае наука "зоопсихология", в худшем - не наука вообще.» - Если динозавр будет понимать иррациональные числа 0-го уровня, но не будет понимать иррациональные числа 1-го уровня, то это тоже будет интересный вывод как для биологии, так и для математики. {6e} «но это итерации давно известных операций, производимых с давно известными объектами.» - Почему Вы ничего не пишете, что это выдуманное свойство? Где Ваша знаменитая критика? Это свойство числа можно назвать Коллатцность. Прогоняем число в цикле. Если нечетное, то умножаем на 3 и прибавляем 1. Если четное, то делим на 2. Если рано или поздно придем к 1, то коллатцность числа равна истина. Если нет то ложь. И гипотеза утверждает, что все натуральные числа имеют это свойство в положении истина. Давайте и я выдумаю свойство. Ничего нового. Все старое. Берем натуральное число. Например 3. Значит нужно делать 3 раза по очереди сложение и умножение с этим числом последующих чисел. Т.е. для тройки: (3+4)*5+6. Для четверки: ((4+5)*6+7)*8. Получим для каждого натурального числа какое-то ему сопутствующее число. Возможно там будет что-то интересное. Сделаем какую-то гипотезу на этот счет. Вы не понимаете главного. Сам порядок этих действий выдуман. Смысла не имеет. Эта выдумка ничем не лучше логики обобщения коммутативных действий. Вы придумали слово «фыбага». А я придумал новое свойство для уже существующих объектов – людей. Фыбага – это древнеафриканский полубог. И отношение к нему того или иного человека это новое свойство человека. Для материального объекта «Цорин Борис Иосифович» я пока поставлю значение «неизвестно». Но я надеюсь, что в своем ответе Вы что-то напишете мне определенное на этот счет, и я это зафиксирую, так как планирую создать гипотезу на этот счет. Поэтому эти выдуманные свойства чисел даже менее имеют какой-то полезности или применимости, чем логика уровней действий. Но придуманные западными учеными такие гипотезы типа Коллатца достаточно распиарены, как некие важные свойства чисел, которые являются наукой и их надо изучать. «Подобного рода малозначительных не доказанных и не опровергнутых гипотез много.» - Да. Запад много такого придумал. Это незападным ученым ничего не велено придумывать. Не положено по статусу. «Но у Вас в статье я не вижу ни одной гипотезы» - Здесь мы приходим к Вашему утверждению, что я должен был предоставить труд на 200 страниц, в котором все это будет. Не может в одной статье, первой по этой теме сразу все быть. И гипотезы. И теоремы. И доказательства. Все сразу. Вынь да положь. А иначе не научно. Вот оно как. {6e-1} «для начала исправьте терминологию. Пока в статье есть слова, совпадающие с известными терминами омонимически, но не совпадающие семантически, представленные утверждения не являются корректными вне зависимости от того, какую "логику уровней" Вы держите в голове» - Всем терминам я дал определение. Дал какие нужно пояснения в комментариях. Логику уровней тоже описал, так что она теперь не только у меня в голове может быть. Изменить терминологию, по сути с одного слова на другое это не должно быть такой проблемой как Вы это рисуете. Та терминология, которая сейчас приведена в статье, в целом допустима. Менять ее такой надобности нет. Все пояснения я дал. А Вам я советую поменьше ерничать и проявлять уважение к собеседникам.


6.06.2023, 9:54 Цорин Борис Иосифович
Отзыв: {5} "Я уже писал, что математические истины существуют в своей абстракции без привязки к человеку. Человек может, прогоняя через свою призму, давать какие-то понятия, выделять объекты и изучать впоследствии их свойства." - Вы так и не осилили первые абзацы статьи "Математика" с википедии. Математика не состоит в том, чтобы ввести кучу понятий. Математика состоит в том, чтобы для введенных понятий доказывать какие-либо теоремы. Ваша статья содержит новые операции, содержит кучу перевранных понятий, - и не содержит ни одной теоремы для них. "Хотя могло быть дано и альтернативное определение, включающее неделимые числа и для операции сложения" - вот у Вас есть паспорт и еще десяток документов. Давайте выдадим вам двести разных документов и заставим предъявлять каждый из них не только сотрудникам органов, но и любому желающему. Зачем? А просто так, ведь это можно сделать, ведь между ними будет сходство. {5a} "Я даже согласился дать другой термин: «неделимые числа», 1-ый уровень которых будет соответствовать простым числам. Но Вы и это забраковали" - не забраковал, наоборот, сказал, что мера научности статьи в этом случае (если Вы ВСЕ Ваши неверно используемые термины перепишете, а не только этот) повысится. До нуля. {5b} "Это же не придумал западный ученый" - если Вы продолжите использовать свою конспирологическую теорию в качестве аргумента, я буду вынужден предположить, что не веду дискуссию, а грешу, издеваясь над больным человеком. "А Вы раболепно склоняете голову только перед ними" - а когда больной человек при этом переходит на оскорбления, я довольно часто дискуссию просто прекращаю. Так что давайте Вы своей конспирологией будете наслаждаться где-нибудь отдельно от этой дискуссии. {5c} "во-вторых, вопрос был о том, почему внезапно в ходе дискуссии поменялось то, к каким числам мы ищем обратные.» - Это у Вас поменялось" - цитирую Вас же: "Под множеством обратных чисел можно понимать следующее. Для того или иного уровня действия для натуральных чисел, которые не являются обнуляющими числами или нулевыми числами мы делаем для каждого натурального числа обратное действие с другим натуральным числом". В статье Вы также не указывали, что только "для простых и составных" (ну, точнее, для тех, которые Вы так называете, а не тех, которые так называют математики). И только пару комментариев назад внезапно решили, что надо ввести такое ограничение. А в статье этого ограничения все еще нет. {6a} "Во-первых, они не ложные" - открываем статью Википедии "Открытые математические проблемы". Изучаем ее целиком. Обнаруживаем, что далеко не все проблемы и далеко не все списки проблем выдвинуты западнее России. Признаем, что Ваше утверждение было ложным. На извинения я уж и не надеюсь. "Если я даю какое-то определение и выясняется, что уже есть такой термин, означающий несколько иное – то для Вас это катастрофическая ошибка," - замечу, общеизвестный термин, а не узкоспециализированный. И "определения" Вы не давали в статье, ограничивались пояснениями и примерами. "А то что «оказавшийся ложным» с этим можно и поспорить. Например, известно отношение Рерихов к астрологии" - а что, чье-то ОТНОШЕНИЕ является аргументом за истинность? "Статья остается научной" - в Ваших мечтах. {6a-1} "Если хотите что-то написать конкретное из этой статьи, то напишите" - написал в начале этого комментария. {6a-2} "Разница между нами такая, что любому термину, который я дал, я дал пояснение" - только некоторым почему-то не в статье, а под статьей. "Здесь уже Вы приписываете мне того, что я не утверждал" - совершенно верно, это называется "утрировать". "Напишите, что Вы понимаете под словом «обезьяна»" - не могу, модерация не пропустит.{6c} "Если динозавр будет понимать иррациональные числа 0-го уровня, но не будет понимать иррациональные числа 1-го уровня, то это тоже будет интересный вывод как для биологии, так и для математики" - для математики - ни малейшего. И то, что Вы называете "иррациональными числами 1-го уровня", в математике имеет иное название. {6e} "Сделаем какую-то гипотезу на этот счет" - сделайте. "Вы не понимаете главного. Сам порядок этих действий выдуман. Смысла не имеет. Эта выдумка ничем не лучше логики обобщения коммутативных действий" - намного лучше. Он ввел теорему (гипотезу, но скорее всего, когда-нибудь ее докажут и она таки окажется теоремой), а не понятие. "планирую создать гипотезу на этот счет" - о, Вы опять собираетесь вместо исследования класса объектов заняться исследованием отдельных представителей? Что там с кошкой Муськой? "Здесь мы приходим к Вашему утверждению, что я должен был предоставить труд на 200 страниц, в котором все это будет" - ну Вы могли ограничиться одним понятием и связанным с ним теоремами на одну статью, тогда 200 страниц не потребовалось бы. А пока что Ваша статья - бесплодная фантазия, да еще с терминологическими ошибками. "А Вам я советую поменьше ерничать и проявлять уважение к собеседникам" - вот увы мне, лицемерить так и не научился.


Оставить комментарий


 
 

Вверх